Showing 118 of 118on this page. Filters & sort apply to loaded results; URL updates for sharing.118 of 118 on this page
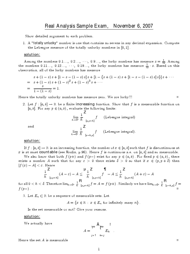
Real Analysis Sample Exam With Solution 2007-11-12 | Measure ...
Exam Analysis Tool | Dietrich School of Arts & Sciences Undergraduate ...
Investment Analysis Sample Exam + Answers - Sample Final Exam – IA ...
Introduction to Analysis - Sample Midterm Exam 2 | MATH 104 | Exams ...
EXCEL of Student Exam Score Analysis Template.xlsx | WPS Free Templates
Exam Analysis Tool Updated Template | PDF | Study Skills | Human ...
Exam Analysis Template | Teaching Resources
Free Exam Score Analysis Templates For Google Sheets And Microsoft ...
REAL ANALYSIS 2 FINAL EXAM SAMPLE PROBLEM SOLUTIONS ...
Complex Analysis - Final exam | Exams Complex analysis | Docsity
Data Analysis Exam 4 Sample Questions - Sample Questions for Exam 4 For ...
23+ Critical Analysis Essay Examples to Download
Statistical Analysis Prelim Exam - STATISTICAL ANALYSIS PRELIM ...
Numerical Analysis Exam Questions And Answers at Janice Kiefer blog
Instrumental Analysis Final Exam Questions and Answers with complete ...
Free Student Exam Score Analysis Table Templates For Google Sheets And ...
Exam Analysis - proven method to help students improve their performance
Table Of Analysis For College Exam Scores Excel Template And Google ...
Exam Results Analysis at Amanda Okane blog
Exam Score Statistics Automatic Analysis Table Excel Template And ...
Examples to Analysis Type of Multiple-Choice Questions Answer questions ...
Sample Page - Exam Analysis
Exam Analysis-1 - Exam 1 study material - Exam Analysis Document You ...
Sample of Final Exam Questions (Decision Analysis Part Only)
What Is A Critical Analysis Essay Simple Guide With Examples - Free ...
Analysis Exam 2 | PDF
Instrumental Analysis – Exam 2 Questions with Verified Answers – Atomic ...
Exam Results Statistical Analysis Chart Ppt PowerPoint Presentation Inspira
Situational Analysis - Midterm exam - Name: Date: 12/4/ Course, Year ...
System Analysis Exam 1 (chapters 1-5) || Complete Questions & Answers ...
Instrumental Analysis Exam 1 Review Questions and Answers 100% Correct ...
Mock Exam Statistical Analysis Column Chart Excel Template And Google ...
Situational Analysis - Lecture Notes and Exam Notes - MARKETING ...
MAT Exam Analysis 2024: CBT/IBT Exam Difficulty Level, Check Detailed ...
Exam Analysis - proven method to improve exam performance | Teaching ...
Critical Analysis Exam practice - Core Maths / Level 3 Mathematical ...
An Analysis Table of the Final Exam Results for the Second Half of the ...
MBA Analysis Exam 2 Example - Filled Out.doc - ANALYSIS FOR DECISION ...
Complex analysis exam solutions .pdf - MAS2702 Complex Analysis ...
Analysis chart of final exam results | Download Scientific Diagram
Exam 2018, questions and answers - ECA003 DATA ANALYSIS Specimen ...
Exam Analysis - Try this technique to help students highlight mistakes ...
Strategic Analysis Exam - Fall 2020 | Course Hero
Decision Analysis Exam.docx - Decision Analysis Exam Here is your test ...
IBPS Clerk Main Exam Analysis 2020: Moderate to difficult paper- check ...
MBA Analysis Exam 1 Example.doc - ANALYSIS FOR DECISION MAKING EXAM 1 ...
Behavioral Analysis Exam 1 review.docx - Behavioral Analysis Exam #1 ...
Analysis Exam | PDF | Software Development | Information
DATA ANALYSIS/ ANALYTICS SAMPLE FINAL EXAM QUESTIONS WITH CORRECT ...
AC 414 - Exam 1 - Sample 1 - PRACTICE EXAM FOR AC414 - FINANCIAL ...
How to Do an Item Analysis of a Multiple Choice Test - Learning Guild
EXCEL of Student exam score analysis.xlsx | WPS Free Templates
EXCEL of Student Exam Score Analysis.xlsx | WPS Free Templates
A sample analysis of examination results of 500 students was made. It ...
How To Write A Analysis
Analysis AND Interpretation OF Assessment Result - PED 6: ASSESSMENT OF ...
Test Analysis Worksheet: Streamline Your Assessment Process
Analysis Of Test Scores Excel Template And Google Sheets File For Free ...
Understanding Exam Question Performance Through an Assessment Software
Blackboard Test Item Analysis at Frank Hudson blog
Test Analysis Report In Software Testing at Carlos Robertson blog
Test Analysis | What it is, Purpose & Complete Work Flow
Sample Exam Questions: Communication & Group Dynamics
Tutor2u ALevel Business ExamSkills Analysis Poster | PDF
Examination Result Analysis made easy with vmedulife
Picture Analysis | PDF
Sample Of Analysis Essay.pdf
Sample Test Analysis Report at Sherri Branch blog
Sample Simplified Process of Case Analysis | PDF | Reason | Learning
Chapter 4 Analysis Interpretation of Assessment REsults 13B53C - 41 ...
Testing In Business Analysis at Amanda Okane blog
Test Analysis Results of Interpreting Data and | Download Scientific ...
Statistical Test Analysis Method at Jeannette Southall blog
Free Result Analysis Templates For Google Sheets And Microsoft Excel ...
Case Analysis Sample | Master of Template Document
17 Analytical Thinking Examples (2025)
Post Test Analysis for Student Reflection | Made By Teachers
Test Item Analysis Template | PDF | Geometry | Mathematics
Test Item Analysis Sample Deped at Mackenzie Balfour blog
Algorithms Sample Questions Set 3 Time Order Analysis - Geeksfor Geeks ...
Analysis Of Students' College Entrance Examination Results Excel ...
Engineering Data Analysis Quiz 5 (Finals) - Engineering Data Analysis ...
Statistical Tests ~ Different Types & Examples
Analysis
DepEd Item Analysis | PPTX | Standardized Testing | Educational Assessment
Analytical GAT exam question sample 1 - Section 1 - Analytical ...
Semen Analysis Report Format: 10 Key Guidelines, PDF & Example - Drlogy
Master the Statistics Exam 2 with This Ultimate Cheat Sheet
Quiz & Worksheet - Situation Analysis in Marketing | Study.com
Solved 1.22 A sieve analysis test was performed on a sample | Chegg.com
What Is Testing Analysis at Joyce Collins blog
Case Study Analysis Format Sample - Design Talk
Real Analysis Test-1 | PDF
Sample/practice exam 2018, questions and answers - CHAPTER 4—JOB ...
Student Result Analysis System | PDF
Engaging Classroom Poster - For Chains of analysis (Exam Technique ...
Test Item Analysis Calculator 2020
Situational Awareness Examples
Item Analysis - Item Analysis Item Analysis Technique to improve test ...
Free Sample Analysis Template to Edit Online
Technology at MSU - MSU—exam-analysis-sample-report | Michigan State ...
PPT - Developing Assessment Plans PowerPoint Presentation, free ...
Example scenario of the situational judgment test for assessing ...
Table of Mastery (Test Item Analysis) Template » Educators' Files
PPT - Everything you need to know about Learning Outcomes! PowerPoint ...
picture analysisdirection identify and analyze the following pictures ...