Showing 120 of 120on this page. Filters & sort apply to loaded results; URL updates for sharing.120 of 120 on this page
Example Of Lesson Plan For Teaching Writing at Louise Mcmakin blog
Inbound 1655839005 - An example of lesson plan - DETAILED LESSON PLAN ...
Content Example In Lesson Plan at Dean Gillbee blog
Example Of Lesson Plan For Secondary Schools In Nigeria -3 Important ...
Example Of A Blog
Examples Of Educational Blogs at Kristopher Chambers blog
Lesson Plan Examples With Objectives at Charlene Warden blog
Lesson Plan Examples Pdf at Loretta Cyr blog
Examples Of Writing Lessons at Paul Bullock blog
Lesson Plan Content Examples at David Elizondo blog
Example Lesson Plan Analysis | CARLA
Good Examples Of Lesson Plans Elementary Lesson Plan Templates
19 of the best blog examples to inspire your blogging journey
Blog Writing Lesson Pack for KS2 (Teacher-Made) - Twinkl
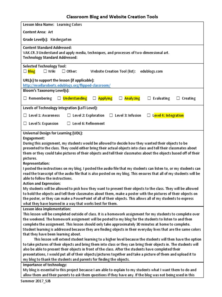
07 Classroom Blog Lesson Idea Template | PDF | Educational Psychology ...
07 Classroom Blog Lesson Idea Template 1 | PDF | Homework | Behavior ...
30+ Examples of Blogs: Successful Blog Examples for 2021 - Blogging Her Way
Lesson Plan Related Activities at Walter Graves blog
07 Classroom Blog Lesson Idea Template | PDF | Learning | Behavior ...
Lesson Plan Model Examples at Kai Hartung blog
07 Classroom Blog Lesson Idea Template | PDF | Learning | Communication
20 Blog Examples To Get Inspired By | One More Cup of Coffee
Mini Lesson Examples at Mary Lockridge blog
Examples Of Valuable Lessons at Sara Button blog
Classroom Blog Lesson Idea Template | PDF
30 Lesson Plan Examples For Every Grade Level And Subject Brief Example ...
07 Classroom Blog Lesson Idea Template | PDF | Homework | Behavior ...
Stiner Classroom Blog Lesson Idea | PDF | Classroom | Teachers
A blog | LearnEnglish Teens
KS2 How to Write a Blog Activity Pack
How to Start a Blog in Quick and Easy Steps | Attrock
Blogging Lesson Plan for 5th Grade | PDF | Lesson Plan | Classroom
Top 25 Teaching Blogs To Help Your Educational Process | GM Blog
Your Complete Guide to Starting a Course Blog | CampusPress
Top 5 Powerful Lessons I Actually Learned From Blogging | Blog And Get Paid
Here is How to Create A Classroom Blog Using Blogger - Educators Technology
10+ Blog Examples
Free Annotated Lesson Plan Template For Google Docs
Blog - 20+ Examples, PDF, How to Create
33 Blog Examples to Inspire Your Next Blog Post
25 Top Business Blog Examples To Learn From & Inspire You
34 ideas for a classroom blog | PDF
Top 25 Teaching Blogs To Help Your Educational Process | GraphicMama Blog
Examples of Blogs From Every Industry, Purpose, & Readership
Discover 10 Inspiring Blog Examples to Boost Your Writi...
25 Blog Examples That Will Blow Your Mind | StartBlogPro
7 best blog examples doing it right in 2021 | Webflow Blog
The use of blogs for english teaching1 | PPTX
Best Personal Blog Examples for Students (2026)
Classroom Blog Examples | PDF | Blog | Homework
30 Lesson Plan Examples for Every Grade Level and Subject
How to make a lesson plan for teaching english the definitive guide ...
28 Lesson Plan Templates for Teachers & Online Instructors
14 Blog Examples for College Students (who want to start their own blog ...
30+ Best Blog Examples You Need to See
What is the easiest way for students to blog in the classroom? - The ...
24 Lesson Plan Examples for Every Grade and Subject
Lesson plan examples and templates for any subject
13 Examples Of Great Class Blogs | K-12
Examples Of Great Class Blogs | Education blog, Teacher websites ...
Common Lessons Learned In Literature at Norma Shanks blog
How to Create a Blog for Students: The Ultimate How-To
Create a Blog for Free - 8 Free Blogging Platforms
25 Lively Lesson Plan Examples For Every Grade Level - Teaching Expertise
Indexiq Blog
Classroom Blog Tools for Social Studies | PDF | Classroom | Teachers
A Complete Guide to Teacher Blog Design and Its Impact
42 Examples of Lessons Learned (2026) - Simplicable
Adventures in 21st Century Learning - Blog
12 Lesson Plan Examples for Every Classroom - Venngage
How To Organize Lessons at Johnny Will blog
Easy Blog Ideas For Beginners
How to Develop a Blog Writing Style (Create a Blog Style Guide)
103 Best Blog Examples: The Ultimate List (2026)
30 Lesson Plan Examples for Every Grade Level and Subject - March 2025
Enhancing Teaching and Learning Outcomes through Blog Utilization ...
The Current State of Educational Blogging 2017/2018 – The Edublogger
An Introduction to Using Blogs in the Classroom: Benefits, Examples ...
Community Helpers Lesson with Blogging | PDF | Behavior Modification ...
Classroom Blog for Exercise Journals | PDF | Blog | Internet
What Is a Blog? - Engaging PowerPoint (teacher made)
Using Blogs in the Classroom | U-M LSA Sweetland Center for Writing
PPT - GSCS BLOGS PowerPoint Presentation, free download - ID:3586554
PPT - Blogs & Wikis PowerPoint Presentation, free download - ID:4280018
Step 11: Set Up Student Blogs – Courses & PD
PPT - Blogs in Education 101 PowerPoint Presentation, free download ...
PPT - Enhancing Education Through Classroom Blogs PowerPoint ...
[FREE] Guide to the 20 Best Teaching Blogs For Schools
Blogs In Education | PPT
Create and Manage Student Blogs in 5 Simple Steps – The Edublogger
Starting a Blog? Educate Yourself With These 10 Blogging Lessons ...
How to Set Up a Class Blog: Encouraging Students to Write and Communicate
The Top 10 Ways Blogs and WordPress Are Used in Schools – The Edublogger
ELL Teaching 2.0: Blogging with English Learners
PPT - Blogs and the Classroom PowerPoint Presentation, free download ...
USING BLOGS IN THE CLASSROOM--- | PPTX
PPT - Enhancing Classroom Learning through Blogging: 21st Century ...
PPT - Using Blogs in the Classroom PowerPoint Presentation, free ...
25 Best Blogs For Your Inspiration 2026 - Colorlib
Blogs for Collaborative Learning
Blogs in the Classroom | PPTX
PPT - Enhancing Classroom Learning with Web 2.0 Tools: Wikis, Blogs ...
Lessons Learned Slide Template - SlideKit