Showing 118 of 118on this page. Filters & sort apply to loaded results; URL updates for sharing.118 of 118 on this page
Algebra Math Problem Solver
Algebra Calculator - Step-by-Step Online Algebra Problem Solver
Algebra Problem Solver | Solve Your Math Equations
Mathway - Algebra Problem Solver | PDF | Rates | Theoretical Physics
Math Problem Solver | Solve algebra problems for free | Math problem ...
Online Math Problem Solver Blog: Algebra Calculator by Quick Math
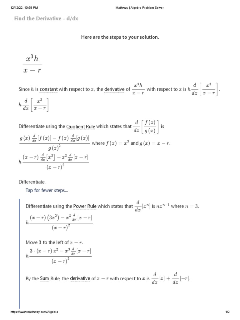
Mathway Algebra Problem Solver | PDF
Mathway Algebra Problem Solver | PDF | Equations | Mathematics
FX Algebra Problem Solver APK for Android - Download
Algebra Problem Solver - Worksheets Library
PPT - Algebra Math Problem Solver PowerPoint Presentation, free ...
Automatic algebra problem solver - YouTube
A Nice Algebra Problem Solver - YouTube
Algebra Solver
Math Problem Solver With Solution – Giải Toán Nhanh & Chi Tiết
Microsoft Math Solver - Math Problem Solver & Calculator - Worksheets ...
Algebra Calculator with Steps free | The best Algebra Solver
Math Algebra Solver Calculator : Amazon.co.uk: Apps & Games
Algebra Calculator with Steps | Solve any problem with Julius
Algebra Problem Solver: Can You Solve This Equation?
😂 Solve my algebra problem step by step. Solve my algebra problem step ...
Algebra Calculator & Solver - Solve any Algebra Problems | Solvely
How to Solve an Algebra Problem : 9 Steps - Instructables
Free Algebra Calculator and Solver
Math Problem Solver
Algebra Calculator & Algebra Solver with Steps - Math AI
"Algebra Tutorial: Solving Algebra Problem Step by Step". - YouTube
Online algebra solver - can solve your math problems step-by-step ...
AssignmentGPT - Step-by-Step Math Problem Solver
Solve for x: Learn how to solve this algebra problem working with ...
Algebra Equation Solver
MathFaze - Free Algebra Solver with Step-by-Step Solutions
A Nice Algebra Math Problem || Can You Solve This? @TheMathScholar23 ...
Math Algebra Solver
AI Math Solver - AI Math Solver with Steps | Free Algebra & Calculus ...
Math Solver
Solving Equations Using Algebra Calculator - MathPapa
Math Solver And Steps: Calculadora Step By Step – OVNI
Free Equation Solver – Step-by-Step Math Calculator
AI Math Solver & Calculator - Free Online, No Sign-up
Algebra - How To Solve Equations Quickly! - YouTube
Free Math Solver & Calculator with Steps | StudyX
How to Solve Algebra Problems | PPTX
Solving simple equations | Algebra - YouTube
Algebra Basics - Solving Basic Equations - Quick Review! - YouTube
How to Solve Simple Algebra Problems - Algebra Student
Algebra Calculator shows you the step-by-step solutions! Solves algebra ...
Basic Algebra Worksheets
Solve Algebra Problems Online: Step-by-Step Solutions | MathzAI Guide ...
Algebra 2 - 1.3 - Solve Linear Equations - YouTube
SOLUTION: Step by step guide in solving algebra problems - Studypool
Algebra - Math Topic Guides (FREE)
Using Algebra to Solve Problems
Basic Math Equations And Problem Solving
Algebra 1 Problems
Let’s Solve These Basic Algebra Equations- Step-by-Step……. - YouTube
Algebra Problems Worksheet with Answers: Sharpen Your Skills!
Math Equations Examples Algebra Equations | Formula, Types & Examples
Linear Algebra Example Problems - Solving Systems of Equations (2/3 ...
Help Solving Math Problems Algebra - Mattie Haywood's English Worksheets
Easy Algebra Problems And Answers
Algebra: Solving 1-Step Equations with Tutorial Videos by Als Algebra ...
How to Learn Algebra (with Pictures) - wikiHow
Algebra Fundamentals - Solving Simple Algebraic Equations (1-Step ...
👉 All About Algebra - Solve One-Step Equations | KS2 Maths Concept Video
Algebra Probems Using Algebra To Solve Probability Problems Worksheet
Algebra - How to Solve Algebraic Equations - Solving Basic Equations ...
Solve algebra problems step by step
Free Microsoft Math Solver - Solve Math Problems Instantly with ...
3 Basic ALGEBRA Equations - Can you solve them? - Worksheets Library
Algebra Math Solver on the App Store
How to Solve Algebra Problems Step-By-Step
Equation Calculator - Worksheets Library
How to Solve Algebraic Problems With Exponents: 8 Steps
What IS Problem-Solving? - Math Coach's Corner
3 Ways to Solve Two Step Algebraic Equations - wikiHow
4 Ways to Solve Systems of Algebraic Equations Containing Two Variables
How to Solve an Algebraic Expression: 10 Steps (with Pictures)
Solve for x and y Difficult equation | Challenging Algebraic Equation ...
Solving Simple Linear Equations with Unknown Values Between -9 and 9 ...
Solving Equations - Middle and High School Math
Short Trick to Solve Quadratic Equation - GeeksforGeeks
Two step equations 1 | Math, Algebra, Simplifying Expressions, solving ...
Algebraic Equations
How To Solve An Algebraic Equation - Free Worksheets Printable
Solving Algebraic Equations Part 1: Independent Practice Solutions ...
"Mastering Algebra: How to Solve Any Equation Step-by-Step" - YouTube
30+ Two Step Equations Worksheet Samples to Download
Colorful Solving Multi-step Equations Tiered Worksheets - Etsy
Algebraically Solving Equations – Project Greater Ed
How to solve Algebraic equations 1-3 step problems - YouTube
Solving Equations with x on Both Sides - YouTube
Solve For X Equation Calculator
Solving Algebraic Equations Steps - Tessshebaylo
Calculator Mathway at Holly Bunny blog
Steps To Solving Algebraic Equations | PDF
Free Solve for X Worksheets | Practice Algebraic Equations and Find X ...
How To Solve Simultaneous Equations With Negative Numbers - Allen Jenk ...
How To Solve System Of Equations
Solving algebraic equations – Artofit
Solving Equations (24/02) – Mathematics and Coding