Showing 120 of 120on this page. Filters & sort apply to loaded results; URL updates for sharing.120 of 120 on this page
Graphing Quadratics in Vertex Form - Mr. Williams Math Class
everydayMATH by akdc - YouTube
math mode - Rounding to nearest integer symbol in Latex - TeX - LaTeX ...
AKDC
Combining Function Transformations: Order Matters – The Math Doctors
AKDC | PDF | Distance | Heat
Akdc Power Full
math quiz #shake it to the max #subscribe - YouTube
AKDC Online Shop added a new photo. - AKDC Online Shop
Momentous Math Teaching Resources | Teachers Pay Teachers
IMechE - Get ready for the excitement as AKDC (Abdul Kalam Design ...
AKDC • buffydesign
AKDC | Instagram, Facebook, TikTok | Linktree
AKDC STUDENT LOGIN : FEE PAYMENT & DETAILS
AKDC Seeks Applications for Collections Curator | Aga Khan ...
AKDC Black Oversized Tee. – WATC STUDIO
AKDC Food Products Marketing - Therefore, if anyone is in Christ, He is ...
AKDC - Arkansas Kidney Disease Commission in Government & Military by ...
AKDC Creative on Twitter: "Team #Columbo wins 3rd place for the ...
AKDC B.D.proposal | PDF
Throwback Thursday at AKDC | Aga Khan Documentation Center
ACT Math (Function transformations) Flashcards | Quizlet
AKDC | Islamabad
AKDC Alu Kettle 15L 14Cm X 14Cm X 11Cm Golden Colour - Walmart.com
AKDC presents double bill of award-winning Kathak at The Place
Level Ups: Graphing Linear Functions 8th Grade Math
Exponents In Math
AKDC BNI AHMED
Math Duel: 2 Player Math Game - Android Apps on Google Play
AKDC Black | AK/DK
AKDC Season - 2 Winner || Dance on kale dai song😍😍 Babal dance - YouTube
prodigy math game! - YouTube
Akdc Online Application - Fill and Sign Printable Template Online
Using Transformations to Graph Functions of the Form
Function Transformations: Graphing & Equations
What Is Advanced Functions And Modeling at Abby Folingsby blog
Is Mapping A Function at Debra Millender blog
The process of AKDC-PSHC distributed clustering algorithm | Download ...
Absolute Value Functions 9th - 12th Grade Flashcard | Wayground
Solving Trigonometric Equations - ppt download
Solved: If AD=20 and AC=3x+4 , find the value of x. Then find AC and DC ...
PPT - Chapter 2 PowerPoint Presentation, free download - ID:1894101
Show that at least and find ak by using | Chegg.com
arizonakpopdancecrew
Solved: In the graph below, kite A'B'C'D' is the image of ABCD after a ...
AKDC@MIT seeks a video assistant | Aga Khan Documentation Center
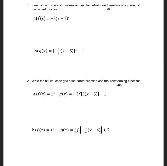
Solved 1. Identify the a, k, d and c values and explain what | Chegg.com
3.3.1 Example 1 : Finding the maximum/minimum and axis of symmetry of a ...
AKDC'24 | Instagram, Facebook | Linktree
Khan Academy
Team Apexers from PNEC-NUST at IMechE Abdul Kalam Design Challenge ...
What Is A Natural Base Exponential Function at Hunter Lilley blog
PPT - 2.7: Absolute Value Functions and Graphs PowerPoint Presentation ...
KPOP DANCE ARIZONA【AKDC】
オートクリーンAKDC - 株式会社アルボース
Paging Doctor Math: In-N-Out Burger Task
About AKDC@MIT | Aga Khan Documentation Center
1-5 Order of Transformations - YouTube
Aga Khan Documentation Center | AKDC@MIT: Supporting research ...
9.8: Graph Quadratic Functions Using Transformations - Mathematics ...
alpha and beta roots of quadratic equation | Finding new equation - YouTube
Horizontal And Vertical Shift Calculator at Lucile Hart blog
Reciprocal Function Graph
Find an Equation of a Transformed Sine Function: y=asin(bx+c)+d (2 ...
Solved: Identify the transformation from ABCD to A'B'C'D'. C'D'. 1 90 ...
1.8 Part 2 - Transformations of Functions (a, k, d, c) - YouTube
PPT - Parent Function Transformations PowerPoint Presentation, free ...
[a^k] = [a^gcd(n,k)] and |a^k| = n/gcd(n,k) Proof (Abstract Algebra ...
Lesson 14 Effects of Changing The Values of A, H and K | PDF ...
IMechE UET Taxila on LinkedIn: #akdc #cad #design #solidworks #imeche # ...
Exponential Distribution (Explained w/ 9 Examples!)
AKDC’s LayerCake mapping tool now available to the public | Aga Khan ...
Choose Notation Formula at Liam Raphael blog
Solved: Which function describes the transformation from Figure ABCD to ...
2.7: Transformations of Functions - Mathematics LibreTexts
Kashif Nadeem Kayani
(a) Here we show the variations of the constant Ac(k,d) figuring in ...
Solved a + kc [a ] [*** b + kd d a and let k be a scalar. | Chegg.com
AKDC安康熱舞12th
Solved: 12. Describe a transformation that maps ABCD onto A'B'C'D'. [Math]
SOLVED: 1 Image Transformation Suppose there are three steps for ...
Algebra Quadratic Transformations Calculator
Identify the transformation from ABCD to A'B'C'D'. Reflection across ...
[ANSWERED] 6 A Describe the transformation a k d c for the function ...
Transformations of Quadratic Functions Identifying a,h, and k - DIGITAL ...
KCSE 2024 Mathematics Paper 1 | PDF | Acceleration | Circle
Transformations of Functions Practice - MathBitsNotebook(A2)
MathScore Practice: Transformations
La math-à-outils: Approximation de ln(2) - méthode des trapèzes
Grade 11 Probability Concepts and Practice Questions 2024 - Studocu
Review Grid Transformations Practice - MathBitsNotebook(JR)
Syed Shahveer Ali on LinkedIn: #engineering #innovation #teamwork # ...
Grade 12 Mathematics Term 2 Assignment - May 2025 - Studocu
Finding the Equation of a Transformation from the Graph - YouTube
Figure ABCD is transformed to A'B'C'D'. Identify the sequence of ...
Solved 1. X=AˉBˉCˉDˉ+AˉBˉCDˉ+ACˉD+ABC cossion using k-maps. | Chegg.com
[CAIE][9231][AS and A Level Further Mathematics][Past Paper Questions ...
NW NSC Mathematics P2 ENG QP – September 2024 (Grade 12) - Studocu
S.3 MATHEMATICS TERM 3 assessment new curriculum - MUTO ONLINE
CK12-Foundation
1.6: Transformation of Functions - Mathematics LibreTexts
MATHEMATICS WAKISHA MOCK UCE MTC 2024 - MUTO ONLINE
Graph Transformations Rules : Parent Functions and Transformations ...