Showing 120 of 120on this page. Filters & sort apply to loaded results; URL updates for sharing.120 of 120 on this page
Indefinite Integration JEE Advanced Questions PDF With Solutions-1 | PDF
Definite integration - JEE Advanced Previous Year Questions with Solutions
JEE ADVANCED INTEGRATION QUESTIONS PRACTICE JEE MAINS #jee2025 #maths # ...
Jee Mains 2024|Jee Advanced 2024 Easy Questions Definite Integration ...
Definite Integration JEE Advanced Questions PDF with Solutions
JEE MAINS 2025 INTEGRATION questions jee advanced question #jee2025 # ...
Definite Integration Jee Advanced Questions - YouTube
JEE Advanced Integration Practice Problems | PDF | Number Theory ...
Titration Jee Advanced Questions at Ralph Livingston blog
Integration by Substitution - Advanced Higher Maths
Trig Function Integration - Advanced Higher Maths
Indefinite-Integration - JEE Advanced Previous Year Questions with ...
Integration by Parts - Advanced Higher Maths
Integration Partial Fractions - Advanced Higher Maths - Worksheets Library
Integration Questions
Integration Worksheets 100 Questions and Answers - Maths Academy
Definite Integration JEE Questions PDF with Solution, Practice Now
Basic Integration - Advanced Higher Maths
Jee Advanced 2024 Maths🎯| Definite Integration jee Advanced 2024 ...
Definite Integration Jee Advanced toughest Maths questions🔥| Jee ...
Integration Jee Advanced 2014 Question | Integration IIT Jee Advanced ...
Jee Advanced 2023🎯| Definite Integration Jee Advanced PYQs 2023| Jee ...
Integration Questions and Full Solutions - Maths Academy
JEE Advanced 2020 Important Question | Definite Integration ...
Indefinite Integration Important Questions with Solutions for JEE Main ...
JEE Advanced Previous Year Questions and Solutions on Indefinite ...
Solved 39. Advanced Integration - Part II Use the | Chegg.com
144 Integration Questions + Answers (Calculus 2 Integrals) Worksheets ...
Basic Integration 20 Questions and Answers PDF - Maths Academy
Integration Worksheets - 100 Questions and Answers - Maths Academy
EASY Question IIT Advanced 2016 P2 | Definite Integration class 12 ...
Solved Advanced level maths integration | Chegg.com
JEE Advanced Integration Model Question | University Entrance Exam ...
Advanced Integration Question - YouTube
IIT Advanced 2006 Definite Integration Question for JEE Mains 2025 | # ...
JEE Advanced Previous Year Questions and Solutions on Limits.
A Lot to Learn from This JEE Advanced 2020 Integration Question ...
Exploring Advanced Integration Formulas: A Study on Integration ...
SOLUTION: Integration questions with solutions - Studypool
A Classic Indefinite Integration Question from JEE Advanced 2012 | JEE ...
A Question A Day -12 | Integration | Jee Main | Jee Advanced | NDA | MT ...
SOLUTION: Indefinite integration every type practice questions with ...
EaSy ︎ IIT Advanced 2019 Question | Definite Integration class 12 | Jee ...
IIT Advanced 2002 Definite Integration Question for JEE Mains 2025 | # ...
A Question A Day - 36 | Integration | Jee Main | Jee Advanced | MT ...
Solve Indefinite Integration Questions (Problem) for JEE Main ...
SOLUTION: Integration multiple choice questions answers - Studypool
JEE Advanced 2007 Question | Indefinite Integration Question | Xmatics ...
Integration Revision Questions for Various School Topics | Course Hero
Practice Questions On Differentiation and Integration | PDF | Area ...
Integral calculus ap basic calculus root √x integration | calc 2 ...
CBSE Class 12 Mathematics Integration Worksheet Set G
Integration Formulas For Class 12 NCERT Solutions For Class 12 Maths
Difficult Jee Advanced integral - YouTube
An Integral from the JEE Advanced Exam - YouTube
JEE Previous Year Questions on Definite Integrals - Download free pdf
SOLUTION: Indefinite integration comprehensive mathematics practice ...
Solved Integrals While Solving Integration Question I Forget To Write
integration - solving integral with complex analysis - Mathematics ...
Mind Maps For Definite Integration - Class 12, JEE (Main + Advanced)
Definite Integration JEE Mathematics MCQs Set A with Answers
Integration - MATH100 Revision Exercises - Resources - Mathematics and ...
Evaluating Definite Integrals Using Integration by Parts ...
Advanced Integrals Exercises Solutions | PDF | Mathematical Relations ...
Solved AP Calculus AB6.10 PracticeNamAdvanced Integration | Chegg.com
Integration (Question Set) | Download Free PDF | Geometric Measurement
DEFINITE INTEGRAL JEE ADVANCED 2019,PAPER 1,NUMERICAL TYPE - YouTube
JEE Maths chapter- Indefinite Integration
Mind Maps For Indefinite Integration - Class 12, JEE (Main + Advanced)
Definite Integration | OCR AS Maths A Revision Notes 2017
SOLUTION: Differentiation and integration a level maths practice qs ...
JEE Main Previous Year Questions (2026) Indefinite Integral - Chapter-wise
Question for JEE Maths chapter- Definite Integration
AS-LEVEL FURTHER MATHEMATICS (9231) – INTEGRATION | Cambridge IGCSE ...
SOLUTION: IIT JEE advanced and JEE main indefinite integrals notes and ...
SOLUTION: Application of integrals most important questions with ...
Jee Advanced 2022 Maths Solution Paper 1 Definite Integration🔥🔥| Jee ...
Integration - Properties, Problems, Irrational Algebraic Functions
Integration By Parts Worksheet
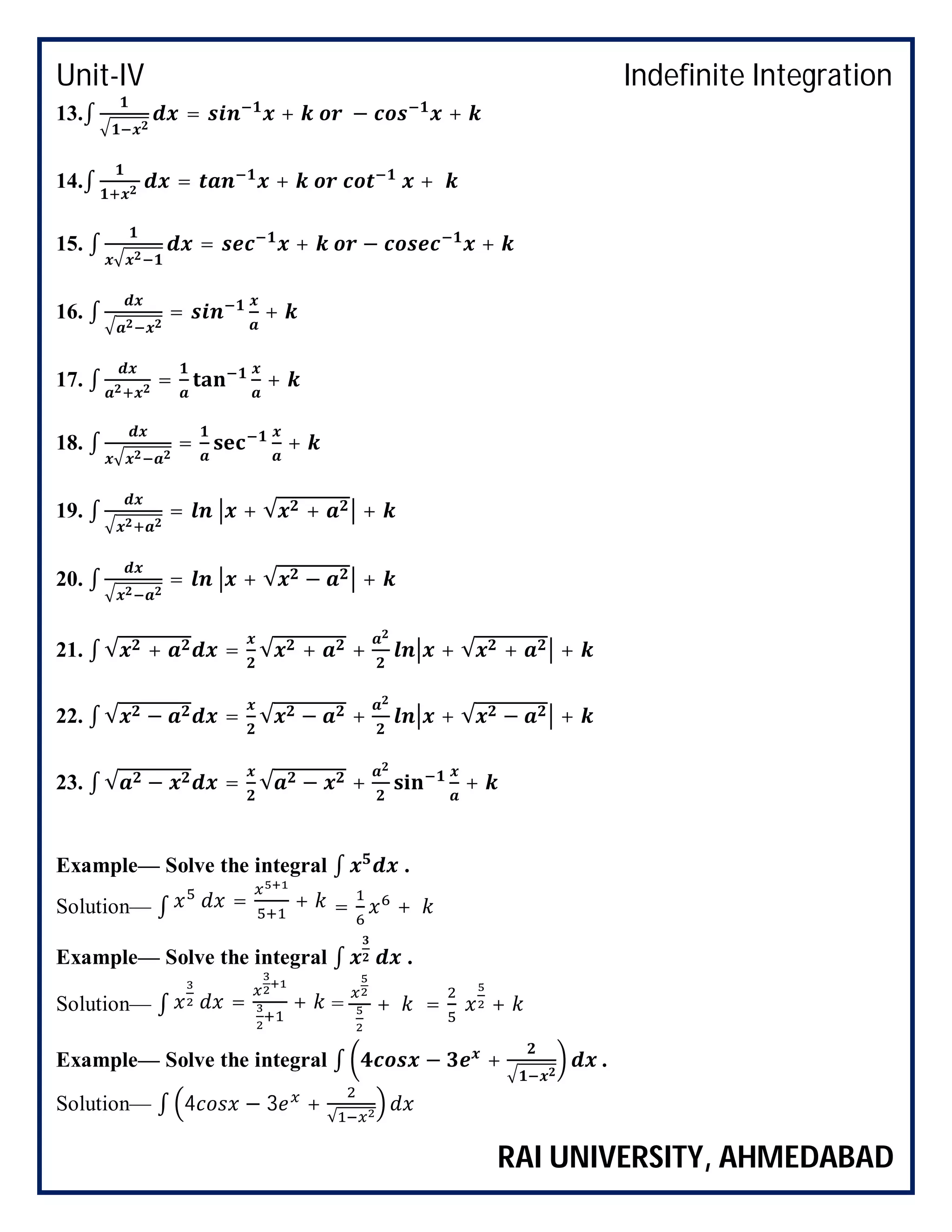
Diploma_Semester-II_Advanced Mathematics_Indefinite integration | PDF
JEE Main Previous Year Questions (2020): Indefinite Integral - Chapter ...
Integration Worksheet: Equations, Areas, Volumes
Integration Further Maths (A-LEVEL) | PDF
Hardest Question For Fresh Attempt | JEE Advanced 2014 Maths | Definite ...
Answered: Solve integral the integral x^3/sqrt(x^2+4) by using: a ...
JEE Main Mathematics Indefinite and Definite Integrals Previous Year ...
JEE Mathematics Indefinite Integrals MCQs Set A with Answers
JEE Mathematics Indefinite Integrals MCQs Set B with Answers
Integral Problems
Indefinite Integrals Solved Problems
100 Integral Problems: Calculus Practice
List of All Integral Formulas With Guide | Knowledge Glow
Integral Calculus Problems