Showing 120 of 120on this page. Filters & sort apply to loaded results; URL updates for sharing.120 of 120 on this page
Advanced Integration Techniques Calculus 2 3 Example Problems Area ...
Integration Partial Fractions - Advanced Higher Maths
INTEGRATION OF RATIONAL FRACTIONS (Case II) | PARTIAL FRACTION - YouTube
Integration by Partial Fractions: Example 6 - YouTube
Advanced Integration Techniques | PDF | Integral | Equations
Chapter 3: Advanced Integration | PDF | Equations | Integral
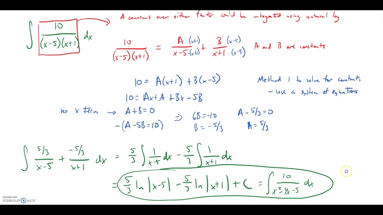
ADVANCED INTEGRATION TECHNIQUES Lesson 2 - Integration by Partial ...
Integration Using Partial Fraction Decomposition (Case 2) - YouTube
Basic Integration - Advanced Higher Maths
Integration by partial fraction technique with solved examples - YouTube
Calculus: Integration - Partial Fractions (16 of 16) Example 8 ...
Methods of integration 2 - Advanced Techniques for Integration Partial ...
Integration by Partial Fractions Example 3/[(x-1)(x+2)] - YouTube
Integration by Partial Fraction and Its Importance.
Integration By Partial Fractions Example 3 Youtube
Randolph H.S. AP Calculus BC 09: Integration by Partial Fraction ...
Integration by Partial Fractions. Example 3. - YouTube
Advanced Integration Techniques
Integration by substitution of a fraction - YouTube
3.13 Integration 13 : Using Partial Fractions 2 (Improper) – Advanced ...
What Integration technique should I used ? Advanced Integration ...
Integration : How to integrate fraction and negative powers - YouTube
Integration OF Rational Fraction - INTEGRATION OF RATIONAL FRACTIONS a ...
4 Advanced Integration | PDF | Integral | Function (Mathematics)
Basic Integration Example 01 (Separating Fractions) - YouTube
Integration by Partial Fractions | Big Idea + First Example - YouTube
Lesson 10 techniques of integration
5 Steps to Determine Which Integration Technique to Use
Integration by Partial Fractions - Definition, Formulas, Steps and Examples
All Integration Formulas - Complete List of Integrals - Cuemath
Integration Techniques - Mathematics A-Level Revision
List of Integral Formulas - Rules for integration, Solved Example PDF
Chapter 15 - Methods and Applications of Integration | PPT
Integration By Partial Fractions Integration II – Proper Partial
Integration by Partial Fractions - Definition, Formula, Examples
PPT - TECHNIQUES OF INTEGRATION PowerPoint Presentation, free download ...
Integration By Partial Fractions: Examples and Solutions | Course Hero
Basic Fraction Rules Chart
Examples Of Integration Used In A Sentence at Arthur Popp blog
Partial Integration Further Integration (new A Level Maths) | Teaching
Technique of Integration by Partial Fractions | PDF | Mathematical ...
Integration using Partial Fractions | Edexcel A Level Maths: Pure ...
Integration for algebraic fractions | Teaching Resources
Integration of Rational Functions by Partial Fractions - Techniques of ...
Integration using Partial Fractions | AQA A Level Maths Revision Notes 2017
Fraction Rational Function
Integration By Partial Fractions Examples | Calculus 2 - JK Math - YouTube
Integral calculus ap basic calculus root √x integration | calc 2 ...
Integration with partial fractions | AP Calculus BC | Khan Academy ...
Integration by partial fractions||Examples - YouTube
Integration - MATH100 Revision Exercises - Resources - Mathematics and ...
Integration using Partial Fractions | Teaching Resources
Integration By Partial Fractions - YouTube
EXAMPLE: Integrating a fraction with a quadratic in the bottom and a ...
Integration By Partial Fractions
Partial Fractions Integration | PDF | Algebra | Arithmetic
Integration by Partial Fractions - Examples with Answers - Neurochispas
Integration by Partial Fractions by Mr Sutton Presents | TPT
Solved Worksheet: Integration using Partial Fractions 1. | Chegg.com
Integration of Rational Fractions (Additional Example) - YouTube
Integration by Partial Fractions - Integration of rational functions ...
PPT - Chapter 7 – Techniques of Integration PowerPoint Presentation ...
Integration of Algebraic Fractions
Lesson #132 Summary of Techniques of Integration
Integration using Partial Fractions (example problem) - YouTube
Integration Partial Fractions by Calculus and Chai | TPT
Integration Formulas List
Partial Fraction Decomposition Integrals (Calc 2) - YouTube
Fractional Integral -- from Wolfram MathWorld
How to Integrate terms with fractional coefficients and powers - YouTube
Integrating Fractions 100 Integral Calculus Sample Problems
Integrating Fractions
AP Calculus Review: Indefinite Integrals - Magoosh Blog | High School
Ilectureonline
ANSWERS AND EXPLANATIONS
Evaluating Integrals Intermediate Maths Solutions For Definite
How to Solve an Integral Involving Fractional Powers | by Thanushan ...
Integrating Fractions - A Level Maths Revision Notes
Integration_of_Rational_Functions_by_Partial_Fraction.ppt
Chapter 8:Techniques of Integration-CSDN博客
SOLUTION: TRIGONOMETRIC SUBSTITUTION AND PARTIAL FRACTIONS ...
Integrals Tutorial
Evaluating Indefinite Integrals using the Method of Partial Fractions ...
Integrating Partial Fractions - A Level Maths Revision Notes
How to integrate Algebraic Fractions - YouTube