Showing 120 of 120on this page. Filters & sort apply to loaded results; URL updates for sharing.120 of 120 on this page
Examples of Modification | PDF | Adjective | Adverb
Structure of Modification | PDF | Verb | Adjective
Grammar: Structures of Modification | PDF | Adverb | Adjective
Adjective Modification on Behance
Structures of Modification | PDF | Adjective | Noun
Structure of Modification | PDF | Adjective | Noun
Adjective Modification Lesson | PDF | Adjective | Verb
Adjective Adverb Modification Activities, Powerpoint & Key | Printable ...
PPT - Adjective Modifiers PowerPoint Presentation, free download - ID ...
Structures of modification | PPTX
Modification The sentence modifiers Nouns Modifiers (postnominal ...
The Adjective Phrase Modifier in English Grammar - Linguistics Girl
Noun Phrase Modification | Collocation | Writing Support
PPT - Understanding Adjective Phrases in Grammar PowerPoint ...
Modifying Adjectives Adjective Phrases, Formation With Examples In
Adjective modifiers | PPT
Modifier vs. Adjective — What’s the Difference?
PPT - Diagram Sentences with Adjective Modifiers PowerPoint ...
Adjective modifiers | PPS
Adjective Modifiers | Adjective | Adverb
GRAMMAR ADJECTIVES ADJECTIVES Adjective describes or modifies a
Adjective | PPTX
Structures of Modification Focused on Adverbs and Adjectives Gr 10 B ...
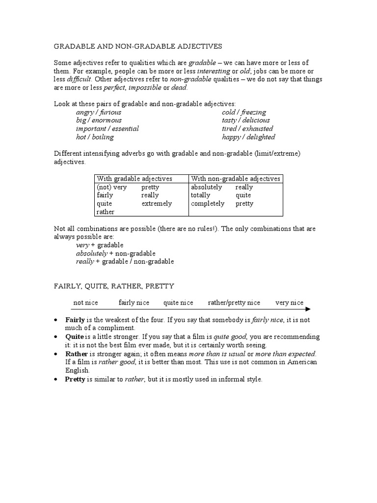
Adjective Modifiers (Intensifiers) | PDF
Adjective Modifiers - Fce | PDF
Expanding Sentences Through Noun Modification | PPTX
Adjective and Adverb Modifiers | PDF
Adjective Modifiers | PDF | Adjective | Linguistic Typology
Verb Modification - Verbes reguliers à modifications orthographiques en ...
Use Modification In A Sentence - Caffeine and Lesson Plans ...
6 Structures of Modifications | PDF | Adverb | Adjective
Modifiers (Adjectives, Adverbs).ppt
Modifiers: Explanation and Examples
Structures of Modification! | PPTX
PPT - Dangling and Misplaced Modifiers PowerPoint Presentation - ID:170170
Adjectives: Modifying Nouns & Pronouns - Curvebreakers
Complete Guide to Modifiers: Types and Examples in Grammar
Diagramming Sentences Adding basic modifiers Diagrammings Prime Directive
Modifiers - Teaching resources
Noun Modifiers In English Grammar Langster, 50% OFF
Understanding Modifiers What are modifiers Adjectives and adverbs
SOLUTION: Lecture 4 modifiers adjectives and adverbs - Studypool
Understanding Modifiers What are modifiers Adjectives Adverbs Phrases
20 Examples of Modifiers in Sentences » Onlymyenglish.com
Modifier Examples | What is a Modifier? | ESL Kids World
PPT - What Are You Referring To ? Modifiers Made Simple PowerPoint ...
Modifiers Worksheet Adjectives Adverbs - Adjectiveworksheets.net
PPT - Modifiers PowerPoint Presentation, free download - ID:2765026
PPT - Modifiers PowerPoint Presentation, free download - ID:9186426
PPT - Modifiers PowerPoint Presentation, free download - ID:1942308
Adverbs And Adjectives As Modifiers - YouTube
Modifiers - Adjectives & Adverbs - Graphic Grammar Lesson 7 - Print ...
Modifiers as Adjectives - TMK Education
Modifiers: Definition, Types & Examples | Learn English
Modifying Adverbs
A Primer on Noun phrases and Noun modifiers : Verbal Guides and Resources
PPT - Grammar – Modifiers PowerPoint Presentation, free download - ID ...
Adjectives modifiers | TPT
PPT - Grammar Notes PowerPoint Presentation, free download - ID:2019008
Adverb: A Word that Modifies Another Word - Curvebreakers
Adverbs (examples, videos)
Lesson 2 Adjectives As Modifiers | PDF
Structural Grammar: Single-Word Modifiers Lesson
Modifiers English Part 1 - YouTube
PPT - Complex noun phrases PowerPoint Presentation - ID:508658
Adverbial Modifier
MODIFIERS INTRODUCTION
Pin on Modifiers: Post & Pre modifiers
ADJECTIVES ADVERBS RULES TO FOLLOW ADJECTIVES Modifies Nouns
PPT - Choosing Adjectivals PowerPoint Presentation, free download - ID ...
Adjectives (Process of Modification, Articles) | PPTX
Using Adjectives and Adverbs Correctly What are adjectives
Adjectives. - ppt download
Collocations: adverb + adjectives (modifiers + adjectives) — Convenient ...
PPT - Grammar: Parts of Speech PowerPoint Presentation, free download ...
Modifying Nouns
Using Adjectives and Adverbs | Modifiers | Grammar Worksheets & Assessments
PPT - Adjectives and Adverbs PowerPoint Presentation, free download ...
Using Structures of Modification: ADJECTIVES - YouTube
Adjectives: Types and Modifications | PDF | Career & Growth | Language ...
Mastering Modifiers: Modifying Adjectives with Adverbs - YouTube
Syntax | PPT
USING STRUCTURES of MODIFICATION.pptx
PPT - The Magic Lens PowerPoint Presentation, free download - ID:5482797