Showing 120 of 120on this page. Filters & sort apply to loaded results; URL updates for sharing.120 of 120 on this page
A New Heterocyclization Product of Adhyperforin from Hypericum ...
Box plot showing hyperforin and adhyperforin contents in H. perforatum ...
Adhyperforin API | High-Purity St. John’s Wort Extract
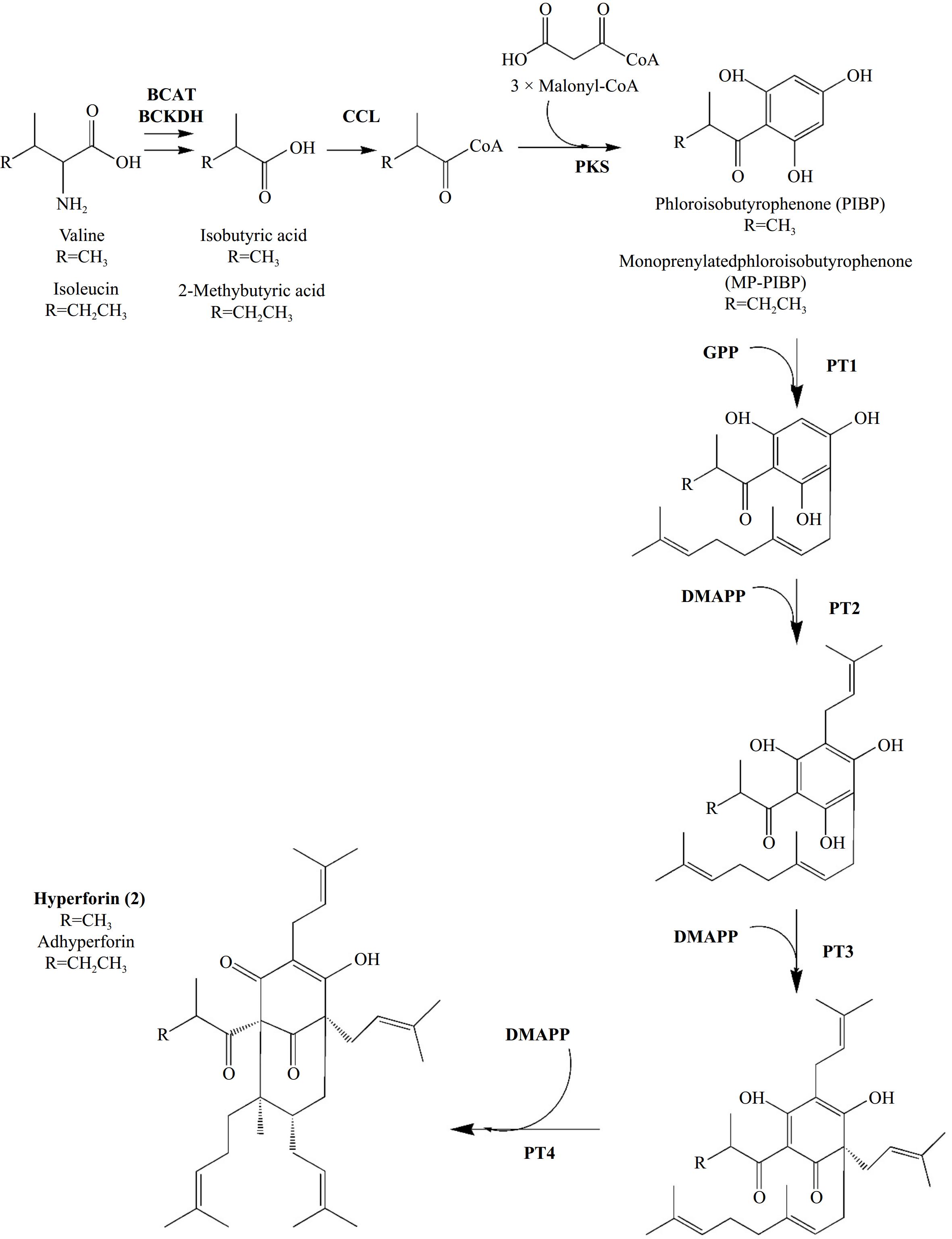
(PDF) Biosynthesis of hyperforin and adhyperforin from amino acid ...
Adhyperforin | C36H54O4 | CID 44427225 - PubChem
Hypericin (A), pseudohypericin (B), hyperforin (C), adhyperforin (D ...
Hyperforin / Adhyperforin Dicyclohexylammoniumsalz, Gemisch 4:1 ...
Adhyperforin DCHA API | Stable Salt of St. John’s Wort Compound
Structure of St. John's wort components (hypericin, pseudohypericin ...
El hipérico como tratamiento de la depresión | El celuloide de Avogadro
Structures of compounds identified in H. perforatum: hypericins ...
Optimization of supercritical fluid extraction for the separation of ...
Structure of (A) naphthodianthrones (R 1 = CH 3 , hypericin; R 1 ...
Functional characterization of enzymes in BGC1 and BGC2 of Hypericum ...
Antidepressant-like activity of adhyperforin, a novel constituent of ...
Biosynthetic pathways of hyperforin (Adam et al. 2002) | Download ...
(PDF) HPLC separation of the hyperforin/adhyperforin mixture isolated ...
(PDF) Antidepressant-like activity of adhyperforin, a novel constituent ...
Hyperforin (HF) is a bio-active acylphloroglucinol abundantly present ...
Stability of hyperforin, adhyperforin, hypericin, and pseudohypericin ...
The content of hypericin (A), pseudohypericin (B), hyperforin (C) and ...
(PDF) Supercritical carbon dioxide extraction and fractionation of ...
Johanniskraut (Hypericum perforatum) – Wirkung, Anwendung & Risiken
Chromatogram of Hypericum perforatum L. extract obtained by HPLC-DAD ...
The Biochemical and Genetic Basis for the Biosynthesis of Bioactive ...
Elicitation as a tool to improve the profiles of high‐value secondary ...
Synaptosomes were prepared and incubated with [3H] 5-HT, [3H] NE or ...
Secondary metabolites of medicinal use in Hypericum spp. a rich history ...
Hypericum perforatum L. – Shortcuts to be avoid for species ...
PCA of stem parts of different Hypericum species. | Download Scientific ...
Chromatograms of Hypericum montbretii whole flowering shoots extract ...
Pseudohypericin and hyperforin concentrations of Hypericum perforatum ...
PCA of flower parts of different Hypericum species. | Download ...
Full article: An in vivo study of Hypericum perforatum in a niosomal ...
Hypericum | PPTX
(PDF) Identification of the major constituents of Hypericum perforatum ...
Documentary Analysis of Hypericum perforatum (St. John’s Wort) and Its ...
Hypericum perforatum - Monaco Nature Encyclopedia
Hypericum calycinum (Cultivated- USA) – eFlora of India
Hyperforin Accumulates in the Translucent Glands of Hypericum ...
HPLC chromatograms of Hypericum orientale (a) and H. pallens (b) flower ...
Aerial parts of Hypericum perforatum L. (A) and a closer view of the ...
Hyperforin - Wikipedia
Chemical structure of active compounds of Hypericum spp. | Download ...
(PDF) Biosynthesis of the hyperforin skeleton in Hypericum calycinum ...
PCA of leaf parts of different Hypericum species. | Download Scientific ...
Factors Affecting Polyphenol Biosynthesis in Wild and Field Grown St ...
Identification of Major Constituents of Hypericum perforatum L ...
Biosynthesis of Hyperforin in Hypericum perforatum | Journal of ...
Some biologically active constituents of Hypericum perforatum ...
LC-MS (m/z 100-1,000) principal component analyses of Hypericum species ...
Hypericum perforatum L. and the Underlying Molecular Mechanisms for Its ...
Products - TEXTRACT EUROPE
EP0599307A1 - St.-John's-wort dry extract, process for its preparation ...
Important active constituents of Hypericum perforatum | Download ...
Relationships among sections of Hypericum adapted from Robson (2003 ...
Hypericum perforatum L.-Mediated Green Synthesis of Silver ...
Structural composition of hypericin and hyperforin, two compounds in H ...
Hypericum perforatum _ AcademiaLab
Frontiers | Transplacental passage of hyperforin, hypericin, and ...
Hyperforin API | High-Purity Research Compound
Liquid chromatogram of puff containing St. John's wort (1 ...
Additional Insights into Hypericum perforatum Content: Isolation, Total ...
Extraction of (A) hypericins, and (B) hyperforins from H. perforatum ...
Main secondary metabolites produced by Hypericum perforatum. | Download ...
In vitro propagation and sustention of hypericin rich
prikkperikum – medisinplante – Store medisinske leksikon
Some of the compounds isolated from the Hypericum genus | Download ...
1. Structure of 4 components in Hypericum perforatumm (Elixir ...
Natural Products isolated from Hypericum perforatum - BioCrick
Principal component analyses of 9 commercially available preparations ...
HPLC chromatogram of Hypericum aviculariifolium subsp. depilatum var ...
Biologically active components of Hypericum perforatum and their ...
EP0599307B1 - St.-John's-wort dry extract, process for its preparation ...
Chemical Characterization and Antioxidant Activity of Nine Hypericum ...
Summary statistics of the sequence assembly generated from Hypericum ...
Table 2 from ISOLATION OF A BIOACTIVE COMPOUND HYPERICIN FROM A ...
Structural formulas of hypericin and hyperforin (a, b). Influence of ...
St. John's Wort (Hypericum perforatum) Pharmacology + Antidepressant ...
Hypseudone A, a hyperforin-derived polycyclic polyprenylated ...
Content of hypericins and phloroglucinols in somaclonal family No. 93 ...
(PDF) Taxonomy and Chemotaxonomy of the Genus Hypericum
(PDF) St. John's Wort (Hypericum perforatum): Clinical effects on ...
Liquid chromatogram of reference standards: 1 = pseudohypericin; 2 ...
Chemical structures of hypericin and hyperforin | Download Scientific ...
(PDF) The content of hypericins and phloroglucinols in Hypericum ...
Figure 4 from Biosynthesis of the Active Hypericum perforatum ...
Liquid chromatogram of drink (drink-1) containing St. John's wort (1 ...
Content of secondary metabolites in plants of different ploidy level ...
Population Variability of Main Secondary Metabolites in Hypericum ...
Antiproliferative Effects of St. John’s Wort, Its Derivatives, and ...