Showing 118 of 118on this page. Filters & sort apply to loaded results; URL updates for sharing.118 of 118 on this page
Graph theory and additive combinatorics exploring structure and ...
Additive Combinatorics | Cambridge University Press & Assessment
Additive Combinatorics
خرید و قیمت دانلود کتاب Additive combinatorics ویرایش 1 | ترب
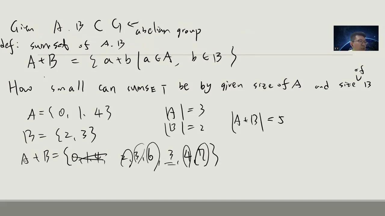
additive combinatorics (1) SUMSET in real number
(PDF) Additive combinatorics methods in associative algebras
Terence Tao, Additive combinatorics and the primes - YouTube
Amazon.in: Buy Additive Combinatorics Book Online at Low Prices in ...
Additive Combinatorics by Andrew Granville | Goodreads
Graph Theory and Additive Combinatorics
Workshop on Additive Combinatorics | ICTS
(PDF) A New Proof of Boole’S Additive Combinatorics Formula
Additive Combinatorics and Computer Science Connections | PDF | Prime ...
Additive Combinatorics (Discrete Mathematics and Its Applications ...
Graph Theory and Additive Combinatorics | Study notes Number Theory ...
(PDF) Fast $n$-fold Boolean Convolution via Additive Combinatorics
(PDF) Additive combinatorics with a view towards computer science and ...
Additive Combinatorics and Discrete Analysis Research Group | Additive ...
(PDF) A categorical approach to additive combinatorics
Introduction To Additive Combinatorics | PDF
Additive Combinatorics | Van Vu
Introduction to additive combinatorics lecture 1.0 --- What is additive ...
Additive Combinatorics (Cambridge Studies in Advanced Mathematics, 105 ...
Boosting Quantum Algorithms via Additive Combinatorics - Tom Gur ...
(PDF) Additive Combinatorics in Groups and Geometric Combinatorics on ...
Introduction to additive combinatorics lecture 4.5 --- getting all ...
Introduction to additive combinatorics lecture 10.1 --- the structure ...
(PDF) Open problems in additive combinatorics
(PDF) On Additive Combinatorics of Permutations of \mathbb{Z}_n
Pablo Shmerkin: Additive combinatorics methods in fractal geometry ...
Graph Theory and Additive Combinatorics - MIT - Lec 26 - YouTube
Additive Combinatorics - ICMS : ICMS
Additive Combinatorics - Mathematical Tripos - Final Exam | Exams ...
Notation and Conventions - Graph Theory and Additive Combinatorics
Contents - Graph Theory and Additive Combinatorics
(PDF) A Walk Through Some Newer Parts of Additive Combinatorics
additive combinatorics - Proposition 2.18 from Tao-Vu - Mathematics ...
AN INTRODUCTION TO ADDITIVE COMBINATORICS Andrew
Introduction to additive combinatorics lecture 15.2 --- A large U3 norm ...
Clustered Integer 3SUM via Additive Combinatorics - YouTube
Yufei Zhao (赵宇飞) - Graph Theory and Additive Combinatorics - Exploring ...
PPT - An additive combinatorics approach to the log-rank conjecture in ...
Free Video: Applications of Additive Combinatorics to Problems in ...
Additive combinatorics | What's new
1. A bridge between graph theory and additive combinatorics by MIT ...
Introduction to additive combinatorics lecture 3.7 --- using dependent ...
(PDF) Combinatorics of a Class of Completely Additive Arithmetic Functions
Free Video: Additive Combinatorics from Probabilistic and Combinatorial ...
Webinar in Additive Combinatorics - YouTube
(PDF) Clustered Integer 3SUM via Additive Combinatorics
Introduction to additive combinatorics lecture 9.5 --- Freiman's ...
additive combinatorics - Green-Ruzsa covering lemma - Mathematics Stack ...
Additive combinatorics and graph theory | EMS Press
References - Graph Theory and Additive Combinatorics
Introduction to additive combinatorics lecture 14.6 --- The U3 norm is ...
Additive Combinatorics - Tao Terence | Książka w Empik
Additive Combinatorics | A Menu of Research Problems | Bela Bajnok | T
Graph Theory and Additive Combinatorics | Mathematics | MIT OpenCourseWare
Graph Theory and Additive Combinatorics - MIT - Lec 10 - YouTube
Graph Theory and Additive Combinatorics | PDF | Vertex (Graph Theory ...
Graph Theory and Additive Combinatorics - MIT - Lec 12 - YouTube
Graph Theory and Additive Combinatorics - MIT - Lec 19 - YouTube
Graph Theory and Additive Combinatorics - MIT - Lec 06 - YouTube
Graph Theory and Additive Combinatorics - MIT - Lec 05 - YouTube
Crm Proceedings and Lecture Notes Ser.: Additive Combinatorics by ...
Graph Theory and Additive Combinatorics - MIT - Lec 25 - YouTube
Additive Combinatorics (Cambridge Studies in Advanced Mathematics, Band ...
Discrete Mathematics and Its Applications - Additive Combinatorics ...
additive combinatorics (1) SUMSET in real number - YouTube
Comparison of additive and multiplicative combinations of values. The ...
Graph Theory and Additive Combinatorics: Exploring Structure and ...
Additive combinatorics, Glibichuk A. A. 20.10.2021г. - YouTube
Genetic Algorithm‐Guided Discovery of Additive Combinations That Direct ...
Additive Combinatorics: A Menu of Research Problems (Discrete ...
co.combinatorics - Important formulas in combinatorics - MathOverflow
Structure of Set Addition (Chapter 7) - Graph Theory and Additive ...
Different additive combinations. | Download Scientific Diagram
Summer School on Additive Combinatorics, Number Theory and Ergodic ...
Combinatorial Number Theory and Additive Group Theory – PremiumJS Store
Additive and Subtractive Color Combinations | Download Scientific Diagram
Additive Subtractive Color Combinations: เวกเตอร์สต็อก (ปลอดค่า ...
(PDF) Additive Combinatorics: With a View Towards Computer Science and ...
Solved EXERCISE 2. A problem in additive combinatorics: | Chegg.com
Pictures of Clay-Fields conference on additive combinatorics, number ...
Additive Colors: Definition and Color Wheel (Infographic)
Additive Subtractive Color Combinations: vector de stock (libre de ...
Combinatorics explained in 10 minutes! Explained with Animations - YouTube
Main rubber and additive combinations. | Download Scientific Diagram
A Teaser for “Graph Theory and Additive Combinatorics” - (This was a ...
Graph Regularity Method (Chapter 2) - Graph Theory and Additive ...
Impedance spectra (ZBB-ZB) of all SiC ceramics with different additive ...
Additive Combinatorics: A Menu Of Research Problems 9780815353010| eBay
Additive Combinatorics: 105 : Tao, Professor Terence, Vu, Van: Amazon ...
Buy Additive Combinatorics: A Menu of Research Problems Book Online at ...
قیمت و خرید کتاب Graph theory and additive combinatorics: exploring ...
Additive Subtractive Color Combinations Stock Vector (Royalty Free ...
What is...additive combinatorics? - YouTube
Combinatorics.ppt
Huy Tuan Pham gave a talk on combinatorial methods for problems on ...
Some elementary probabilistic methods and their applications to ...
110 Minutes Session 24 Drug Combinations. - ppt download
co.combinatorics - Controlling iterated sum sets of "most" of $A+B ...
Forbidding 3-Term Arithmetic Progressions (Chapter 6) - Graph Theory ...
Appetizer: Triangles and Equations (Chapter 0) - Graph Theory and ...
Basefluid/Additive combinations. | Download Scientific Diagram
Additives combinations and dosages employed. | Download Scientific Diagram
Graph theory x arithmetic! Schur's Theorem (earliest example of ...