Showing 120 of 120on this page. Filters & sort apply to loaded results; URL updates for sharing.120 of 120 on this page
Activenet Data Solutions Limited | Watton
ActiveNet Introduces Next Generation Data Integration Engine
Activenet Data Solutions Limited - When your comms room starts looking ...
Features | ACTIVENet
ACTIVENet | ACTIVE Network
The Genesis of the ACTIVENet Hub | ACTIVE Network Blog
Activenet | Mbombela
ACTIVENet Alternatives for Enterprise Businesses in 2024 | G2
ACTIVENet Connect - Apps on Google Play
ActiveNet - Crunchbase Company Profile & Funding
How ACTIVENet helps parks and rec departments | ACTIVE Network posted ...
Activenet reviews | ProductReview.com.au
ACTIVE Network on LinkedIn: Year-End Reporting Made Easy With ACTIVENet ...
ACTIVENet Software Reviews, Demo & Pricing - 2024
ActiveNet | Aitik Gupta
Meet the 10 most active data center investors - PitchBook
Altnets Brings its Expertise to the Data Centre Sector • Altnets
Understanding the Challenges of Decentralized Data Protection
Data center stocks: सिर्फ 30 दिन में 82% का रिटर्न! जानिए इस डेटा सेंटर ...
ACTIVENet Academy Release | ACTIVE Network Blog
ActiveNet Introduction - YouTube
ActiveNet API Integration Overview | PDF | Information Age | Computer ...
ACTIVENet Overview | ACTIVE Network
ACTIVENet Pricing, Cost & Reviews - Capterra Singapore 2025
activenet 中の人|note
How to use ActiveNet - YouTube
Best ACTIVENet Alternative | Exercise.com vs ACTIVENet
ACTIVENet Captivate - Apps on Google Play
ActiveNet Migration Campaign on Behance
ActiveNet Tutorial (2020) - YouTube
Architecture of Active Data | Download Scientific Diagram
Creating a customer account in ActiveNet - YouTube
ActiveNet
ACTIVENet Software - 2024 Reviews, Pricing & Demo
ActiveNet - Pricing, Features, and Details in 2026
ACTIVENet Hub: What it is and why it's important for your organization ...
ActiveNet Telecom ® (@activenettelecom) • Instagram photos and videos
ACTIVENet - Recreation Management Simplified. | Exafol
Business Intelligence Delivered: How ACTIVENet Hub Makes It Easy ...
ACTIVENet Software Reviews, Demo & Pricing - 2026
ACTIVENet Pricing, Alternatives & More 2025 | Capterra
ACTIVENet Tips & Tricks | ACTIVE Network Blog
Activenet Assist for iPhone - APP DOWNLOAD
Radial Expansion of the ActiveNet Every expansion requires a request ...
ActiveNET - HTML CSS JavaScript - 2017 | PDF | Html | Html Element
PPT - ActiveX Data Objects .NET PowerPoint Presentation, free download ...
Wikipédia – ActiveNet
ACTIVENet Academy | ACTIVENet
ACTIVENet - Preço, avaliações e classificação - Capterra Brasil 2026
ACTIVENet Reviews 2026: Pricing & Features - Tekpon
ACTIVE Network on LinkedIn: Huge News! ACTIVENet Academy launches today ...
ACTIVENet - Reseñas, precios y funciones - Capterra México 2025
About: ActiveNet (Google Play version) | | Apptopia
Captivate Your Customers With the New ACTIVENet Captivate App | ACTIVE ...
ACTIVENet - Opiniones, precios y características - Capterra España 2025
ACTIVENet CUI Release: A Launch Like No Other | ACTIVE Network Blog
Activenet - How to register for a class/activity - English - YouTube
ACTIVEWorks Endurance | ACTIVE Network
25 Best Event Management Software in 2022 | Get Free Trail Now
Support | ACTIVENetwork
ACTIVE Network Software Powers....
Dataset - Catalog
Meet The Onnec Team At Datacloud Global Congress
ACTIVENet Captivate on the App Store
Race, Activity and Event Management Software | ACTIVE Network
ACTIVEWorks Camp and Class Manager | ACTIVE Network
ACTIVE Network on LinkedIn: #facilitymanagement #parksandrec # ...
Welcome to ActiveNet!
GitHub - UCASUSTC/ActivityNet_Dataset_Download: a way to download the ...
#datadrivendecisions #eventmanagement #activenet #weareactive | ACTIVE ...
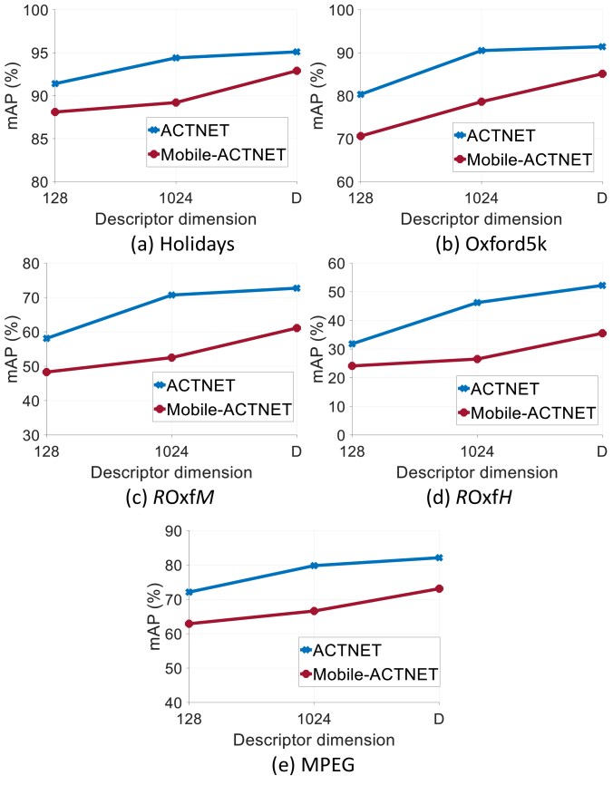
a Proposed ACTNET architecture with multi-stream activation based ...
ACTIVE Hub | ACTIVE Network
Tacit | PDF
Active Network Review | PCMag
Sample activity network data. | Download Table
ACTIVE Net Overview and Demo - YouTube
Get ACTIVE | Elmhurst Park District
Active Network Review: Pricing, Pros, Cons & Features | CompareCamp.com
ActivityNet|视频分析数据集|时间活动检测数据集
Predicting the dynamics of active particles with a Graph Neural Network ...
#activenet #networking #industryevents #wearefuturefit | Lewis Thompson
Интернет activenet: покрытие, отзывы,тарифы 2026 | Connect.net.ua
ActivityNet数据集解析-CSDN博客
ACTIVENet's New Facility Management Module | ACTIVE Network Blog
#activenet #rightdirections #quest #networking #continuousimprovement ...
Active Net - YouTube
ActivityNet数据集简介及下载分享(百度网盘)-CSDN博客
Aprenda a migrar os dados do Active Net 2.0 para o Active Net 3.0 – JFL ...
ACTIVE's Apps Help Make Your Organization Successful | ACTIVE Network Blog
Activenet on the App Store
Active Databases - GeeksforGeeks
ACTIVE Captivate | ACTIVE Network
active-net on LinkedIn: #connecting #strongertogether #activenet # ...
ACTNET: end-to-end learning of feature activations and multi-stream ...
How to set up Microsoft Fabric? | by PBI Guy | Power BI Use Cases | Medium