Showing 120 of 120on this page. Filters & sort apply to loaded results; URL updates for sharing.120 of 120 on this page
Abbbbbbbbbb - YouTube
abbbbbbbbbb Color Palette
ABBBBBBBBBB | ROL... | #la_roli de #Twitch #roleplay #gtaV - YouTube
Abbbbbbbbbb in Camera - YouTube
ABBBBBBBBBB - YouTube
Was geht abbbbbbbbbb - YouTube
Am făcut 💯 de abbbbbbbbbb - YouTube
Pin by Sarah Brewer on abbbbbbbbbb | Old tv shows, Pernell roberts ...
abbbbbbbbbb #funny - YouTube
Pin by Sarah Brewer on abbbbbbbbbb | Bonanza tv show, Old tv shows ...
Pin by Sarah Brewer on abbbbbbbbbb | Bonanza tv show, Pernell roberts ...
Pin by Sarah Brewer on abbbbbbbbbb | Pernell roberts, Captain hat, Captain
abbbbbbbbbb Render Pack Round 4 My G Major 869 - YouTube
️ ABBBBBBBBBB - YouTube
SDC10187 | abbbbbbbbbb | Flickr
chahat and tammana abbbbbbbbbb - YouTube
Pin on abbbbbbbbbb
Pin by Sarah Brewer on abbbbbbbbbb | Pernell roberts, Robert junior ...
Pin by Sarah Brewer on abbbbbbbbbb | Pernell roberts, Robert michaels ...
ปักพินในบอร์ด abbbbbbbbbb
SDC10241 | невыносимая тягость бытия | abbbbbbbbbb | Flickr
Abbbbbbbbbb - apunte - literatura 5 - Studocu
SDC10141 | люди несут воду домой аж из ганги | abbbbbbbbbb | Flickr
Input: 'a1b10' to get 'abbbbbbbbbb' in Python! #shorts - YouTube
Mizo GIF - Mizo - Discover & Share GIFs
Abbbbbbbbbbbbbb Abbbbbbbbbb: Coordinate Geometry | PDF
Abb BB BBBBBB | PDF
Abbbbbbbbbb🙈🙈🙈👀😌👀😄😁😁😌👀😑😄😜😜😁🎶🙏 - YouTube
James Bond #3 by Warren Ellis | Goodreads
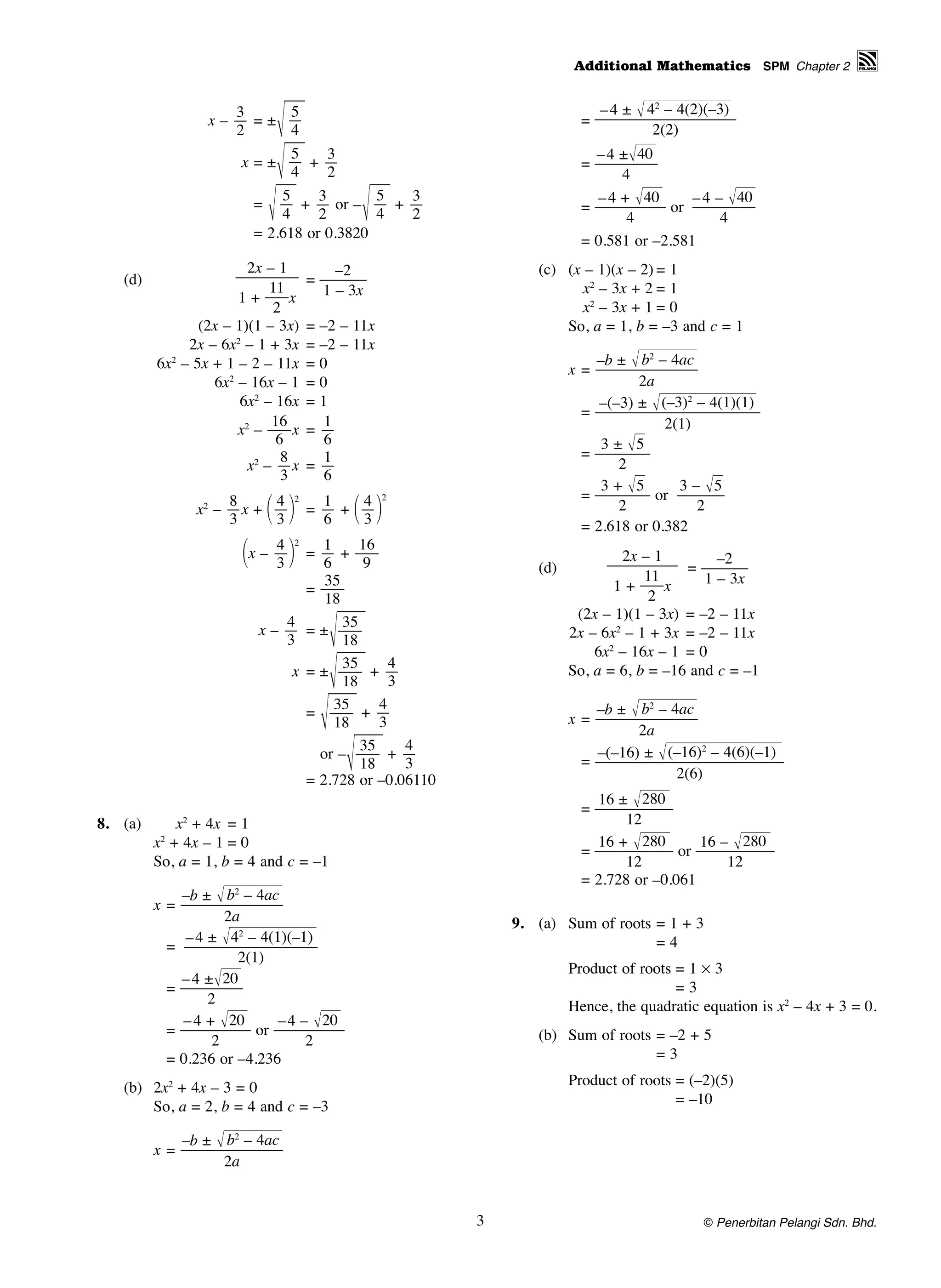
02[anal add math cd] | PDF
Pinterest | Bonanza tv show, Pernell roberts, Handsome
第一次去歐洲,9日應邀去邊到好 | LIHKG 討論區
Artofit
The Division 2 Combat Guide – Cover, Skills, Perks, Tips and Tricks
Pernell in 1982 | Pernell roberts, Robert, Handsome
Relatorio de Obra - afc - Relatório de acompanhamento e gestão de obra ...
Luxury - Imagine calling this Your Home! See Inside: https ...
JihaadLockee) / Twitter
Are Trea Turner’s Struggles the New Normal? – The Nats Blog
Pin by Sophie Hewitt on Old Shows and Movies | Bonanza tv show, Bonanza ...
Pulse Width Modulation | The Science Club
Red Roses - Send Red Rose Bouquets | Surprose.com
I'm supposed to be doing my college assignments : r/okbuddyretard
Prime Minister Abiy Reviews Progress of Addis Ababa City’s Corridors ...
Solved Consider the following grammar: S−> aSb S−>SbS−>ε | Chegg.com
Ruby Single Vs Double Quotes. QuotesGram
TUTORÍA PRESENCIAL Y VIRTUAL UPTC | Mind Map
Placement Papers (1).png
AUSSIE SKIBOATS: V.S.B.C. Club Day, Eppalock Sept. '14
Thirumal_yadav | Where is my yadav filla 🤣🤣🤣# thirumal #yadav # ...
Here's How to Ace Zoho Interview Questions | Simplilearn
Svestrani Ešef sa Modračkog jezera | Zivinice.ba
Pin by Adam's Gal on Adam Cartwright ️ the coolest cowboy | Pernell ...
TT ZD420 printer, cartrid model,300 dpi | ZD42043-C01000EZ - Zebra ...
(心郁郁又想浸)日本各地溫泉旅館 (3) | LIHKG 討論區
حدائق ترفيهي | حدائق | حديقة الملك عبدالله
Zivinice.ba | Nezavisni zivinicki portal
Coluna de 07/06/2024 - Coluna do Péricles Mendel - Cidadeverde.com
V A L E N T I N A
Coluna de 09/05/2024 - Coluna do Péricles Mendel - Cidadeverde.com
Solved In the following Finite Accepters the initial state | Chegg.com
Use Input and Output Functions - Python Programming
Pin by Sarah Brewer on abbbbbbbb | Pernell roberts, Bonanza tv show, Actors
STARS OF PIS AHMEDABAD STD VIII: कक्षा ८ - पर्यायवाची शब्द
正则表达式创建与使用-CSDN博客
Pin on Rakul
Togo / Production agricole et réchauffement climatique : ETD se fixe de ...
Top vòng phong thủy được ưa chuộng nhất tháng 7 âm lịch 2023
揭开正则表达式的神秘面纱 - CharyGao - 博客园
James Bond #1 by Warren Ellis | Goodreads
البغدادي يظهر في الفلوجة
Adam Cartwright from “The Crucible” | Pernell roberts, Bonanza tv show ...
Pernell Robert’s SPF | Pernell roberts, Robert junior, Robert
Pernell Roberts | Pernell roberts, Bonanza tv show, Movie stars
Blog do Gustavo Pereira : abril 2011
Zoho Interview | Set 3 (Off-Campus) - GeeksforGeeks
WGCNA - 實戰 - Karobben
至急 コンビニバイト高1です。シフトを決めてる人がちょっとわたし... - 教えて!しごとの先生|Yahoo!しごとカタログ
Day 1 || Program Solution - CodeClub | Jatin Kishore M
Sonnenuntergang auf dem Ätna von 3000 mt - Guide Vulcanologiche Etna Nord
Δεν πήγε τελικά στην Ιταλία
Bonanza | Pernell roberts, Cowboy up, Bonanza tv show
محمود عبدالجليل والد النائب أندريه العزوني في ذمة الله – موقع الأول ...
🇵🇸 | Чемпион 🇹🇯 -81 кг @judosaidi | Instagram
Nokia G60 Dualsim 128GB Black Grade Nieuw | BUYING GOODS WITHOUT BOUNDARIES
新空港占拠の犬の正体予想5人!女性&警察の予想から本命は白石聖! - ハピトピ
Linux操作系统·Shell的基本应用_linux shell-CSDN博客
Bonanza Wiki | Bonanza, Bonanza tv show, Pernell roberts
Baadejoel,+2500-diagramado - ELABORAÇÃO DE PROJETO ARQUITÊTONICO E ...
Representation of a typical Run Length Encoding | Download Scientific ...
Run Length Encoding
Une "révolution" est en cours en Syrie, dit le chef du CNS à Moscou ...
簡易な正規表現エンジンを実装する
Roy Tate | Tate, Roy, Lee
Pernell from Season 1 of Trapper John, MD - 1979 | Pernell roberts ...
Poughkeepsie Journal from Poughkeepsie, New York - Newspapers.com™
NO HAY DERECHO: SOBRE LA OMISIÓN DEL DEPARTAMENTO DE DERECHO PÚBLICO DE ...
Thoughts of Praveen: zoho interview questions and answer
Pin by april niklas on The Cartwrights | Pernell roberts, Robert, Old ...
Pernell | Pernell roberts, Marriage photos, Robert
Pin by AshleyDawn on Cartwright Family | Handsome cowboys, Pernell ...
Hank Moody bracelet | All about Hank Moody
things with engines | not usual • R8 | Instagram
Mizo Meme - Mizo - Discover & Share GIFs