Showing 116 of 116on this page. Filters & sort apply to loaded results; URL updates for sharing.116 of 116 on this page
Awt In Java: Examples, Hierarchy – XNCUC
AWT hierarchy in advance java programming - YouTube
AWT hierarchy | what is awt class hierarchy | Frame class in java in ...
PPT - GUI Components and AWT Class Hierarchy PowerPoint Presentation ...
Java GUI | AWT Classes in Java | Event Handling - Dumb IT Dude
3: Subset of AWT Component hierarchy | Download Scientific Diagram
The class at the top of the awt hierarchy is - spiderfer
Java AWT Tutorial for Beginners | AWT in Java GUI | Edureka
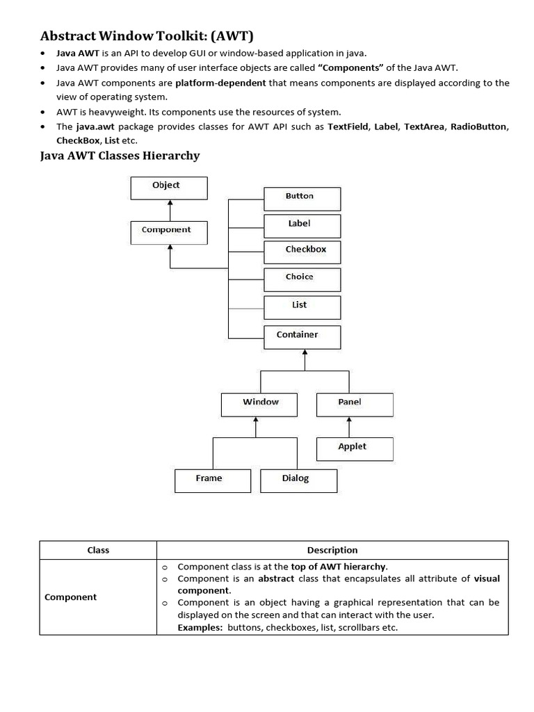
Abstract Window Toolkit: (AWT) : Java AWT Classes Hierarchy | PDF ...
Java Awt Tutorial Javatpoint Java Tutorial Hierarchy Java Awt
AWT in Java | Complete Java AWT Tutorial for Beginners
Java AWT Class Hierarchy Overview and Components Guide - Studocu
Component hierarchy in Advanced Java Objectives The objectives
AWT Hierarchy
AWT Hierarchy | PDF | Programming Paradigms | Software Development
Programming in JAVAII 1 Chapter 1 AWT Swing
AWT Components in Java - Tpoint Tech
AWT Class Hierarchy | PDF | Window (Computing) | Computing
AWT Class Hierarchy - Bhumika Zalavadia - YouTube
AWT Event Hierarchy Overview for Java GUI Components - Studocu
The class at the top of the awt hierarchy is - pnacoast
Easy Notes: AWT in JAVA using Java.awt.*; package
What is abstract window toolkit (AWT)? Present AWT class hierarchy ...
The class at the top of the awt hierarchy is - registrylasopa
Java AWT Controls in Applet
PPT - AWT and Swing PowerPoint Presentation, free download - ID:2990176
AWT Components Java AWT components are platform-dependent i.e ...
AWT (Abstract Window Toolkit) | JavalinUa | Java - YouTube
PPT - 8.0 AWT Components : Overview PowerPoint Presentation, free ...
Java awt (abstract window toolkit) | PPTX
Overview of the AWT
Java AWT Tutorial For Beginners - TECHARGE
Java AWT Introduction
Java AWT Tutorial - GeeksforGeeks
ONLY FOR PROGRAMMERS: JAVA AWT
java AWT contexts
What Is Java AWT (Abstract Window Toolkit)
AWT Full Form - GeeksforGeeks
Introduction to AWT - Core java tutorial for beginners
Introduction to Abstract Window Toolkit (AWT) in Java
Abstract Windows Toolkit (AWT) in Java - Dot Net Tutorials
JAVA AWT presentation for awt key events.pptx
Introduction to AWT - Startertutorials
Event Hierarchy
Structure of AWT
JAVA AWT | PPTX
Shape Hierarchy
Day 13 -- Creating User Interfaces with the awt
Java - AWT | AWT Components | Lecture # 66 | Learn Programming - YouTube
GUI Basics SWING AWT Windows Fundamentals Component At
Component Hierarchy
Chapter 9 -- Extending AWT Components
8 Java AWT Button New - cdvc - Java AWT Java AWT (Abstract Window ...
PPT - Block1 – unit 2 (The Case study in Budd 5-6) PowerPoint ...
PPT - Java Graphics Tutorial with AWT and Swing Set PowerPoint ...
Java AWT Controls | Structure of Java AWT Controls
AWT | PDF
Java AWT design patterns and their relations | Download Scientific Diagram
PROGRAMMING IN JAVA- unit 4-part I | PPTX
Event Hierarchy Expanded
B.Sc. III(VI Sem) Advance Java Unit3: AWT & Event Handling | PDF
Using the AWT Components
Java AWT (Abstract Window ToolKit)
Difference B/W AWT and SWING AND JavaFX - Pianalytix - Build Real-World ...
introduction to JAVA awt programmin .ppt
PPT - JavaScript PowerPoint Presentation, free download - ID:3235755
Code Studio
PPT - Event and GUI programming PowerPoint Presentation, free download ...
PPT - Java Programming II PowerPoint Presentation, free download - ID ...
PPT - The Java 2SE Platform PowerPoint Presentation, free download - ID ...
PPT - Final Reviews PowerPoint Presentation, free download - ID:2395874
PPT - Object PowerPoint Presentation, free download - ID:5167879
PPT - Advanced Java and Android Programming PowerPoint Presentation ...
AWT.pptx
PPT - GUI Development PowerPoint Presentation, free download - ID:6187401
Awt, Swing, Layout managers | PPTX
GUI Programming - Java Programming Tutorial
Jade Cheng - Advanced GUI Applications Part I
PPT - Basic Java Seminar 2/2 PowerPoint Presentation, free download ...
java- Abstract Window toolkit | PPTX
PPT - Component PowerPoint Presentation, free download - ID:3267417
polpeace - Blog
【Java基础】之AWT,一篇文章搞懂awt(包含绘图)-CSDN博客
PPT - Advantages of GUI: User-Friendly Interaction for Modern Programs ...
PPT - Java Applets PowerPoint Presentation, free download - ID:2096388
Java Abstract Window Toolkit (AWT) Presentation. 2024 | PPTX
PPT - Java SWING (GUI ) And Event Driven Programming PowerPoint ...
Java - Basic GUI
PPT - Java Graphics and GUIs Introduction for Beginners PowerPoint ...
The java.awt Package (Java Foundation Classes)
Corresponds with Chapter ppt download
PPT - Understanding Java AWT: Components, Layout Managers, and Basic ...
Introdu.awt
PPT - Chapter 20 PowerPoint Presentation, free download - ID:4950910
Java Graphics - Introduction
PPT - Pengantar GUI: Frames, Simple Components, dan Layouts PowerPoint ...
Listener
PPT - INDEX UNIT 7 PPT SLIDES PowerPoint Presentation, free download ...
I.4. Common GUI Event Types and Listener Interfaces - Android™ How to ...
What is Java AWT? - Goseeko blog
PPT - A Brief Overview of the Abstract Windowing Toolkit (AWT ...
Window Interfaces Using Swing Objects Chapter ppt download
1 Chapter 6 GUI Basics. 2 Objectives F To distinguish simple GUI ...
PPT - GUI Frameworks PowerPoint Presentation, free download - ID:351726
JNTU(H) Java Programming: Unit 5 - GUI programming with Java
GUI Programming Part 2 - Java Programming Tutorial