Showing 120 of 120on this page. Filters & sort apply to loaded results; URL updates for sharing.120 of 120 on this page
Install ASCII Draw on Linux | Flathub
Install ASCII Draw on Linux | Snap Store
ASCII Draw by LeeW
How to draw colorful ascii art using python? (Python tutorial for ...
ASCII Draw – Draw Anything Using ASCII Characters | CONNECTwww.com
How to Draw ASCII Diagrams in the Shell | Baeldung on Linux
[FREE] In this program, you will draw some ASCII art using `System.out ...
Installar ASCII Draw sur Linux | Flathub
How to Draw ASCII Diagrams With Vim DrawIt | Baeldung on Linux
Draw electronic schematics with ASCII characters « Adafruit Industries ...
Ascii loading bar - engineergolf
ASCIIFlow – draw ASCII diagrams in your browser @lewishemens « Adafruit ...
ASCII Draw - рисование символами | LinuxMaster Club
ASCII Loading screen bar simple hue | Stock Video | Pond5
Ascii Art Editor To Draw Text at Steve Gonzalez blog
Ascii Loading Animation - Awwwards
Ascii loading bar - parsmens
ASCIIPaint: Draw ASCII Art Online
Progress Loading Bar with ASCII Characters (Using \r in Python) - YouTube
How To Draw ASCII Art In Microsoft Word – 8 Steps With Images – ASCII ...
Defining and Loading ASCII Character Fonts
ASCII Draw Studio
java - How to draw an image using ASCII symbols? - Stack Overflow
to draw an ascii art picture of a flower : r/therewasanattempt
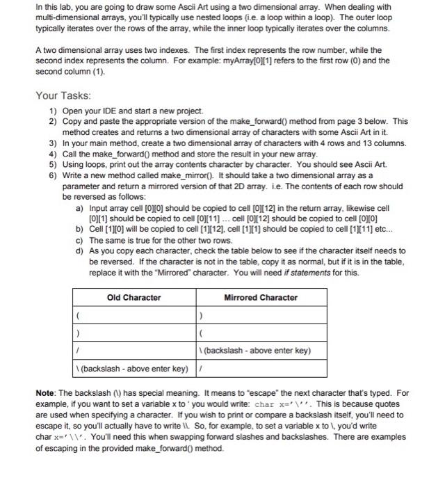
Solved In this lab, you are going to draw some Ascii Art | Chegg.com
Como instalar o ASCII Draw no Linux! - SempreUpdate
I asked OpenAI’s Chat GPT4 to draw itself using ASCII art. The result ...
I asked it to draw what it believes would look like in ascii : r/ChatGPT
ASCII Art Studio Screen Shot | www.torchsoft.com
Durdraw overview: Animated ANSI, Unicode and ASCII Art Editor for the ...
"Asciiflow" which can create a flow diagram with ASCII art - GIGAZINE
Ascii Images
40+ Most Epic ASCII Art
Eye ASCII ART SVG EPS Grafik Von Mappingz · Creative Fabrica
Online Tools to Create ASCII Flow Diagrams
Art Ascii Simple
Art. ASCII
How To Make ASCII Art (Digital or Print on Demand For Beginners) - YouTube
Drawing With Text Characters: The Ultimate Guide To ASCII Art
How to Make ASCII Art: Guide for Beginners
How to Create ASCII Art: 7 Easy Steps
Box drawing ASCII symbols
Ascii Printable Code Chart Pdf - Printable Free Templates
5 Best ASCII Diagram Tools to Use it With both Online and Desktop
Beginner ascii art - freeloadswelcome
How To Make Your Own Ascii Art at Antonio Talbert blog
GitHub - tobiasctrl/Ascii-Draw: An Tool to create ascii images
Top 10 tools to generate ASCII art with characters
Solved Exercise 7 ASCII art is a drawing technique that uses | Chegg.com
[Solved] We use C. Thank you.. Create an ASCII drawing tool. Please see ...
Ascii Drawings Copy Paste - Drawing Tips Guide
Ascii Box Art – Box Drawing Characters – CBYIBF
ASCII Everything - The Ultimate ASCII Art Collection - Anime & Manga ...
Drawing and Animating ASCII Art! | ClickView
Linus Torvalds in ascii art easy ascii - niklim
·٠• Cool Symbols•٠·˙: ASCII Art Generator - This little program ...
ASCIIFlow: ASCII Art Drawing Tool
Generate ASCII Art - A Simple How-To in C#
Explaining Code using ASCII Art – Embedded in Academia
we use C. PLZ help, Thank you. . Create an ASCII drawing tool ...
Taking ASCII Drawings Seriously: How Programmers Diagram Code ...
How to make ASCII art
windows - Software to draw shapes in plain text file (ASCII/Unicode ...
Tried to make it do ASCII art; Cat == Dog : r/ChatGPT
Butterfly ASCII Art | Ascii art, Emoji drawing, Cute drawings
Ascii Drawing Art - Create Your Own Ascii Art
AI Coding从零到一实现ASCII Draw - 知乎
ASCII Art by Glen | hubpages
ASCIIFlow - an interactive web site to produce ASCII drawings ...
GitHub - alantsui5/ascii-art-generator: C# ASCII art generator generate ...
html - ASCII ART DISPLAY - Stack Overflow
How I Make these ASCII Pictures (drawing using slashes, letters, or ...
text - Creating diagrams in ASCII - Unix & Linux Stack Exchange
drawing ascii boxes
What Is Ascii Art How To Convert Image To Ascii Fast Easy
Ascii Art Directions - Infoupdate.org
Motion Graphics & Animation: ASCII Art - A Quick How-to and Know-how
Enkel Ascii Art Drage
ASCII Draw: Sketch anything using characters | AlternativeTo
How to Create ASCII Art: 7 Easy Steps to Turn Text into Art | Ascii art ...
ASCII art by chatbot
Ejemplos de dibujos y figuras del arte ASCII creados con caracteres ...
ASCII code Box drawing character single horizontal line, American ...
Online Tool Turns STLs Into 3D ASCII Art | Hackaday
Cat Ascii Art ASCII Trash Panda By Scionthecoon - Fur Affinity [dot]
Flathub - Apps for Linux
GitHub - baddles/ascii_draw: A program intended to help with drawing 2 ...
PPT - Data Retrieval and GUI Creation PowerPoint Presentation, free ...
GitHub - Nokse22/ascii-draw: Sketch anything using characters · GitHub
Solved Write a function named draw_ascii_box that will | Chegg.com
GitHub - Cher-253/ASCII-Drawing-Tool
Draw, load, race: Inside the history of Kentucky Derby starting positions
Watch ERCOT sent back to drawing board for load projections - FOX LOCAL ...
Monodraw
AsciiDraw
GitHub - soh3n/ASCII-Art-Generator: Drawing program written in C++ that ...
3 cool Linux apps to try this weekend (January 23 - 25)
GitHub - Nokse22/ascii-draw: Sketch anything using characters
GitHub - chuross/asciiartview: Drawing for AsciiArt
Load VOTable/ FITS /ASCII file
GitHub - sapnaagarwal/ASCIIDraw