Showing 120 of 120on this page. Filters & sort apply to loaded results; URL updates for sharing.120 of 120 on this page
Solved (1 point) 3 8pi 3 Find a formula for the graph of the | Chegg.com
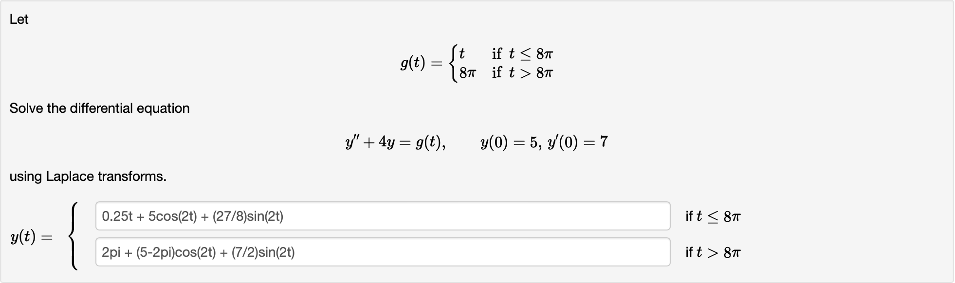
Solved Let g(t) = t if t ≤ 8pi and = 8pi when t > 8pi.Solve | Chegg.com
PPT - The 8pi and TIGRESS Gamma-Ray Facilities at TRIUMF PowerPoint ...
sin 8pi - YouTube
Solved Let g(t) = t if t ≤ 8pig(t) = 8pi if t ≥ 8piSolve the | Chegg.com
Dyform 8PI wire rope with plastic impregnated (PI) core (courtesy of ...
8PI BizSolutions | Johor Bahru
Trigonometry Angles--Pi/8 -- from Wolfram MathWorld
How to Convert Radians to Degrees - 21 Amazing Examples
Múltiplos de Pi/8 - YouTube
Find the reference angle for 8pi/3 - YouTube
Graphing Transformations of Sine and Cosine Functions Tutorial | Sophia ...
Intro to radians
Reference angle of 8pi/9 - YouTube
Find the area of a circle whose circumference is 8pi. - YouTube
tan 8pi/3 - YouTube
Intensity Formula
Sin pi/8 - Find Value of Sin pi/8 | Sin π/8
(8pi)/3-2pi
sin(-(8pi)/3)
[FREE] What is the circumference of the circle below in terms of ? 7 ...
Solved Find cos−1(cos(8pi/7)) 8pi/7 6pi/7 pi/7 -pi/7 | Chegg.com
Find trigonometry angle cos(8π/3) = ? - YouTube
SOLVED: Convert 8PI/2 radians to degrees. Simplify your answer, and ...
SOLVED: Find a positive angle and a negative angle that are coterminal ...
Solved Find the equation of the graph given below. (1/8pi, | Chegg.com
What is the equivalent of pi over 3 radians in degrees? - brainly.com
How to Convert Radians to Degrees: 4 Steps (with Pictures)
How to use the PI function
Trigonometry: Exact value of sin pi/8 (sin 22.5) - YouTube
cos (cos^-1 cos((8pi)/7) +tan^-1 tan(8pi/7)) has the value equal to ...
V17 Prove that: cos(2pi/15).cos(4pi/15).cos(8pi/15).cos(16pi/15)=1/16 ...
Pi To Degrees
Alternative Learning System: Lesson 6 - Converting Degrees to Radians ...
Trigonometry Grid With Domain -4π to 4π And Range -7 to 7 | ClipArt ETC
How to use 'Pi radian' in your scientific calculator 😃? #shorts #tricks ...
To convert the angle from radians to degrees, use the proportion ...
Trigonometry Basics | Revision | MME
Converting 1 Radian to Degrees - Lesson | Study.com
Radians to Degree Pi - YouTube
How To Graph a Radian in Terms of pi - YouTube
sin^-1(sin(-8pi/9)) - YouTube
Recent Drops
Solved sin^-1 (sin(8pi/3)) Simplify the expression. | Chegg.com
Chapter 14 Translate Rotate A few Illustrations Possibilities
Solved I know the answer is (8pi)/3, but I was not sure how | Chegg.com
(Solved)-Convert the angle theta=(8pi)/(9) radians to degrees. Expre
Sin 8pi/3 cos 23pi/6 + cos 13pi/3 sin 35pi/6 = 1/2 - Brainly.in
Degree-Radian Conversion Chart with Pi and Tau | Zazzle.com
find the value of cos (-8pi/3) - Brainly.in
How to Change Radians to Degrees - dummies
The Sine and Cosine Functions - Ximera
solving radians from -pi to pi | Math, High School Math, Measurement ...
trigonometry - Solve for $x$ in $[-\pi,\pi]$ - Mathematics Stack Exchange
Solved Determine the exact radian measure for the angle 8π | Chegg.com
Convert pi/3 radians to degrees - YouTube
help, i know the perimeter is 8pi:The following three shapes are based ...
To convert degrees to radians, use the proportion above.
The expression cos(10pi)/13+cos(8pi)/13+cos(3pi)/13+cos(5pi)/13 is equ
How do you convert dfrac8pi 3 into degrees class 10 maths CBSE
Pi Radians Formula at Rosemary Henry blog
Converting radians to degrees, pi/6 to degrees - YouTube
Trigonometry - Introduction to Pi Radians - YouTube
Find a solution set for the Trig floor equation floor(sin(8PI/7 ...
Sin 8pi/3 cos 23pi/6 + cos 13pi/3 sin 35pi/6 = 1/2prove this - Brainly.in
Solved (a) Sketch θ=5π3 in standard position.Then sketch | Chegg.com
cos^-1(cos( (8pi)/3))has the value equal to
'arg{sin(8pi/5)+i(1+cos(8pi/5))}' || `Arg {sin 8pi/5 +i( 1+ cos 8pi/5 ...
Trigonometry Review - Radians (as fractions of pi) by Tim Serino
Convert pi/5 radians to equivalent angle in degrees using unit circle ...
Convert Between Degrees and Radians | ChiliMath
Converting Radians to Degrees Example with pi/6 - YouTube
Covert the complex number z = 1 + cos (8pi)/(5) + i. sin (8pi)/(5 ...
Solved: The measure of central angle RST is radians. What is the area ...
Trigonometry: - Math Analysis:
Degrees and Radians 4.2 - Pre-Calculus
เวกเตอร์ Stock trigonometric unit circle chart in mathematics | Adobe Stock
Trigonometry - Class Project
Degrees & Radians
Untitled copy1 on emaze
Radian measure. Topics in trigonometry
Trigonometry | PPT
Solved The value of theta is 4pi/9, -8pi/9, -2pi/9. use that | Chegg.com
Understand Pi π degrees, radians circle 🔴 - YouTube
Converting Radians in terms of pi to Degrees - YouTube
How to convert pi/2 radian into degrees - YouTube
Solved Convert 8π to degrees.Convert π9 to degree measure. | Chegg.com
An Introduction to the Radians. Why Pi Radian is equal to 180 degrees ...
Converting radians to degrees and degrees to radians
How To Convert Degrees to Radians in Terms of pi
Converting Degrees to Radians Using Numpy in Python - AskPython
If in the accompanying figure the length of arc AB of circle O is 8pi,
PI, Degrees & Radians Formula in Excel | Math & Trig in Excel. - YouTube
Solved Note: the answer is not 8pi/3 - 6sqrt3, or 8pi/3 - | Chegg.com
How to convert degrees to pi radians - YouTube
CHEM201: Lecture 4 Flashcards | Quizlet
Radians to Degrees( Vice Versa )/Proof of Pi! - YouTube
Converting from Degrees to Radians in terms of pi - YouTube
Cycle 1 & 2