Showing 100 of 100on this page. Filters & sort apply to loaded results; URL updates for sharing.100 of 100 on this page
Ôn tập 7 HDT | PDF
2 - Kiêm Tra Nhanh Đầu Giờ Ngày 2207 - 7 Hdt | PDF
7 Hằng Đẳng Thức Bằng Lời: Tìm Hiểu Công Thức Và Cách Áp Dụng Hiệu Quả
7 Hằng Đẳng Thức Đáng Nhớ Toán 8: Công Thức, Bài Tập & Ứng Dụng
Công thức 7 hằng đẳng thức đáng nhớ - 7HangDangThuc
7 Hằng Đẳng Thức đáng nhớ trong Toán học lớp 8 và hệ quả
7 hằng đẳng thức đáng nhớ và cách áp dụng hiệu quả trong toán học
Cách Đọc 7 Hằng Đẳng Thức Đáng Nhớ Lớp 8 - Bí Quyết Hiệu Quả Cho Học Sinh
Cách Học Thuộc 7 Hằng Đẳng Thức Nhanh Nhất - Phương Pháp Hiệu Quả và Dễ Nhớ
7 hằng đẳng thức đáng nhớ: Công thức, cách ghi nhớ và các ví dụ trực quan
Hằng đẳng thức là gì? 7 hằng đẳng thức đáng nhớ - ihoc.vn
7 hằng đẳng thức đáng nhớ? Cách đọc 7 hằng đẳng thức đáng nhớ bằng lời ...
7 hằng đẳng thức đáng nhớ - Định nghĩa & Ví dụ minh họa
[Tổng hợp] 7 hằng đẳng thức đáng nhớ | Chương trình toán lớp 8
7 Hằng Đẳng Thức Đáng Nhớ Và Bài Tập Áp Dụng Dễ Hiểu
7 Hằng Đẳng Thức Đáng Nhớ 【Lý Thuyết - Bài Tập】 | Phương trình, Giải ...
Cách Giải 7 Hằng Đẳng Thức Đáng Nhớ: Bí Quyết Và Ứng Dụng Thực Tiễn
Lý thuyết 7 Hằng Đẳng Thức Đáng Nhớ: Hướng Dẫn Chi Tiết Và Các Bài Tập ...
Hướng dẫn cách học thuộc 7 hằng đẳng thức nhanh nhất đơn giản và hiệu quả
Tổng hợp 7 hằng đẳng thức lớp 7 giải chi tiết và đầy đủ
7 hằng đẳng thức đáng nhớ và bài tập áp dụng dễ hiểu nhất
Cẩm nang 7 hạng đẳng thức giúp bạn làm chủ toán học
7 Hằng Đẳng Thức Đáng Nhớ Và Hệ Quả chính xác nhất
Công thức, mẹo học và cách đọc 7 hằng đẳng thức đáng nhớ
Công Thức 7 Hằng Đẳng Thức Đáng Nhớ Chi Tiết Nhất
Hằng đẳng thức số 7 - Toán lớp 8 và bài tập ứng dụng
Cách học thuộc 7 hằng đẳng thức đáng nhớ Toán lớp 8 - YouTube
Tổng quan về cách tính 7 hằng đẳng thức trong toán học
Công thức hằng đẳng thức số 7 - Lý thuyết và bài tập
Ôn tập 7 hằng đẳng thức đáng nhớ - Hướng dẫn chi tiết và bài tập
7 hằng đẳng thức đáng nhớ: Công thức, Mẹo ghi nhớ, Bài tập (Có đáp án)
RÚT GỌN BIỂU THỨC BẰNG 7 HẰNG ĐẲNG THỨC - YouTube
Chuyên Đề 7 Hằng Đẳng Thức Đáng Nhớ: Tất Cả Những Gì Bạn Cần Biết
Lý thuyết và bài tập về 7 hằng đẳng thức đáng nhớ
Công thức 7 hằng đẳng thức đáng nhớ
Top 100 hình nền 7 hằng đẳng thức đáng nhớ đẹp nhất 2023
7 Hằng Đẳng Thức Đáng Nhớ - Lý Thuyết Và Bài Tập
Công thức 7 Hằng Đẳng Thức đáng nhớ & Các dạng bài tập
Hằng đẳng thức bậc 3- Bài Tập Áp Dụng 7 Hằng Đẳng Thức - NIKKO
7 hằng đẳng thức đáng nhớ lớp 8 và hệ quả - Giáo viên Việt Nam
7 hằng đẳng thức đáng nhớ và 2 bộ mở rộng - Toán Học
7 Hằng Đẳng Thức Đáng Nhớ Lớp 8, 9 Đầy Đủ
7 hằng đẳng thức đáng nhớ - HOCMAI
Luyện tập 7 hằng đẳng thức đáng nhớ: Học tập và thực hành hiệu quả
Tổng hợp bài tập 7 hằng đẳng thức đầy đủ chi tiết hướng dẫn
Phương pháp học Cách học thuộc 7 hằng đẳng thức nhanh nhất Đơn giản và ...
7 hằng đẳng thức đáng nhớ và cách vận dụng trong toán học
7 Hằng Đẳng Thức Đáng Nhớ Lớp 8 | PDF
7 Hằng Đẳng Thức Đáng Nhớ | PDF
7 hằng đẳng thức đáng nhớ | PDF
7 Hàng Đẳng Thức Đáng Nhớ | PDF
99 Bài Tập Về 7 Hằng Đẳng Thức Đáng Nhớ | PDF
7 Hằng Đẳng Thức Đáng Nhớ Trong Toán Học Là | PDF
7 Hằng Đẳng Thức Đáng Nhớ 【Lý Thuyết - Bài Tập】
7 Hằng đẳng thức đáng nhớ cơ bản và mở rộng – DINHNGHIA.com.vn
7 Hằng đẳng thức đáng nhớ kèm ví dụ cụ thể - HOCMAI
ÔN TẬP 7 HẰNG ĐẲNG THỨC ĐÁNG NHỚ PHẦN 1 | PDF
7 Hằng Đẳng Thức Đáng Nhớ- Hằng Đẳng Thức Bậc 3
7 hằng đẳng thức | 7 hằng đẳng thức đáng nhớ lớp 8
Bài Tập Về 7 Hằng Đẳng Thức Đáng Nhớ: Hướng Dẫn Toàn Diện Cho Học Sinh
Công thức 7 hằng đẳng thức đáng nhớ: Cách đọc, bài tập, mẹo ghi nhớ
Lại luỵ ruii iu mấy pé@elm dung nhy @Pông @7 hdt dang nho @Bột ngọt 🙈 ...
7 HẰNG ĐẲNG THỨC ĐÁNG NHỚ. PHẦN 1. NÂNG CAO TOÁN 8. - YouTube
7 Hằng đẳng thức đáng nhớ: Lý thuyết cần nhớ và các dạng bài tập phổ biến
7 hằng đẳng thức đáng nhớ quan trọng
Những thơ về 7 hằng đẳng thức đáng nhớ được trình bày dễ hiểu
Các HDT: Những Hằng Đẳng Thức Đáng Nhớ Và Ứng Dụng
Hằng Đẳng Thức Đáng Nhớ - Kiến Thức Quan Trọng Cần Nhớ
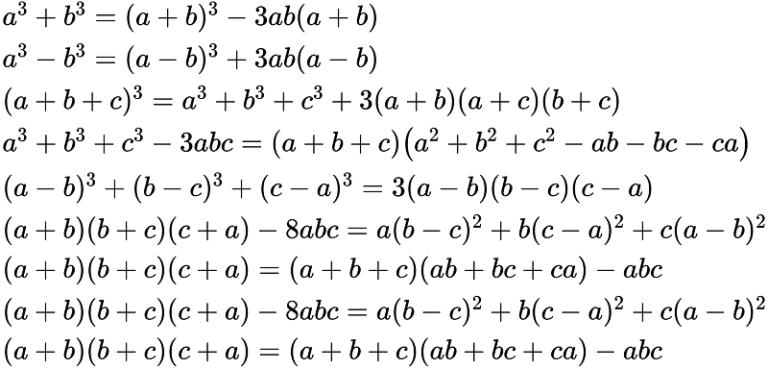
Các hằng đẳng thức mở rộng thường gặp - ABCD Online
Bài Tập Hằng Đẳng Thức Đáng Nhớ - Bt-HDT-Dang-Nho - Studocu
Bảy hằng đẳng thức đáng nhớ và một số mẹo nhớ siêu nhanh
Hằng Đẳng Thức Thứ 7: Định Nghĩa, Ví Dụ và Ứng Dụng Thực Tiễn
Magna's 7HDT300 48V Hybrid Transmission Started Production with ...
Bai 3 Hang dang thuc dang nho | PDF
Phiếu bài tập Toán 8: Các hằng đẳng thức đáng nhớ
#7 hằng đẳng thức đáng nhớ và cách áp dụng hiệu quả
Toán học lớp 8 - Bài 3 - Những hằng đẳng thức đáng nhớ - YouTube
Bảy Hằng Đẳng Thức Đáng Nhớ Lớp 7: Giải Mã Bí Ẩn Của Toán Học
Những hằng đẳng thức đáng nhớ và hệ quả - QuanTriMang.com