Showing 120 of 120on this page. Filters & sort apply to loaded results; URL updates for sharing.120 of 120 on this page
CALCULUS III CHAPTER 4 Vector integrals and integral
SOLUTION: Unit 4 vector integration - Studypool
Line integration | vector calculus | basic concept and problem | part 4 ...
Vector Store Integrations | spring-projects/spring-ai | DeepWiki
Page 4 | Integrations Icon Images - Free Download on Freepik
4.2 Integrals of Vector Functions | PDF | Integral | Acceleration
Multiple integrals; vectors 4 Multiple integrals
Introduction To Vector Integrals.pptx
PPT - Lecture 2: Review of Vector Calculus PowerPoint Presentation ...
Vector Integration | PDF
Vector Integration | PDF | Integral | Euclidean Vector
VECTOR INTEGRAL
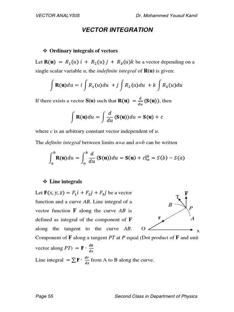
Vector Integration: Vector Analysis Dr. Mohammed Yousuf Kamil | PDF ...
Integrals of Vector Functions - Introduction - YouTube
Lecture 8 10 Vector Integration | PDF | Differential Geometry ...
Vector Integral -- from Wolfram MathWorld
Chapter 3 - Integration in Vector Fields | PDF | Integral | Gradient
Definite Integration of Vector Valued Functions - YouTube
Vector Integration at Vectorified.com | Collection of Vector ...
Application Of vector Integration and all | PPTX
Introduction To Vector Integrals.pptx | Physics | Science
Vector Integrals - Calculus - Studocu
Vector Integration (Part 1)- Tutorial - YouTube
Vertical integration icon set four elements in Vector Image
Vector integration – Mathematical tools for materials
Application Of Vector Calculus Presentation
VECTOR ALGEBRA | S-4 | VECTOR INTEGRATION | VECTOR CALCULUS | SECOND ...
Horizontal integration icon set four elements in Vector Image
Vector Integration-Line Integrals | PDF
Set-4 Vector Integrals | PDF
4: Integration of a vector field over a surface. | Download Scientific ...
Integration of Vector Fields: Line Integrals and Work Calculation ...
Vector integration and its types || Integration of vectors || Unboxing ...
Geneseo Math 223 03 Vector Function Integration
SOLUTION: Integration in vector fields - Studypool
Ex: Integrate a Vector Valued Function - YouTube
SOLUTION: Differentiation and integration of vector functions - Studypool
Vector Integration | PDF | Integral | Gradient
Continuous Integration Vector Art, Icons, and Graphics for Free Download
3.5 | Vector Calculus | Problem On Ordinary Integration Of Vectors ...
Calculus 3: Vector Calculus in 2D (30 of 39) Integration of a Position ...
14. Line Integral | Concept & Problem 2 | Vector Integration | Vector ...
Integration of Vector Functions - YouTube
PPT - Vectors and Vector Addition PowerPoint Presentation, free ...
😍 Vector Integration 🥰 - YouTube
Vector Integration - YouTube
12 Chapter: Vector (Vector Integration Part 03) - YouTube
Vector Integral Calculus | PDF | Integral | Mathematical Concepts
Application Of vector Integration and all | PPTX | Physics | Science
SOLUTION: Vector integration - Studypool
How to find the integral of a vector function — Krista King Math ...
16.integration in Vector Fields | PDF | Geometry | Mechanics
Vector Integration (Part-1) - YouTube
Vector calculus identities integration - feetgeo
Higher Engg Maths- 24 - Vector Integration - Applied Mathematics- 2 ...
Continuous Integration Vector Icon Style 22409485 Vector Art at Vecteezy
Vector integration . | PDF
Integration vector icon 21710452 Vector Art at Vecteezy
Integral of a Vector Function - YouTube
PPT - Integration in Vector Fields PowerPoint Presentation, free ...
How to Solve Integration of Vector Valued Functions - Calculus Tips ...
Vectors3 Vector Integration Part 1 Line integral and Green - YouTube
Oracle Vector Database Integration with eZintegrations™ - AI Enabled ...
What Is A Vector Line Integral
Vector Calculus Examples, Vector Integration ..... - YouTube
Unit 5 Vector Integration | PDF
Vector Integration: Theorems and Examples
B.tech ii unit-5 material vector integration | DOCX
Google Analytics 4 Integrations, Explained | Make
Corporate integration line icons collection Vector Image
INTEGRATION Royalty Free Vector Image - VectorStock
Vector integration example easily explained step by step - YouTube
Premium Vector | System integration icon vector image can be used for ...
Schematic illustration of the vector integration sites and associated ...
SOLUTION: Basics of Vector Integral - Studypool
Integral of vector functions Calculus 3 - YouTube
12MAS - Exercise 4.4 Integration of vectors - YouTube
Integration of Vector-Valued Functions | Calculus 3 Lesson 29 - JK Math ...
Integrating with Vectors Part 1 | Mr Mathematics - YouTube
Integration of vector-Valued Functions - YouTube
What are product integrations? Plus how to implement them
SOLUTION: Vectors integration with solved examples handwritten notes in ...
SOLUTION: Engineering mathematics i differentiation and integration of ...
2.vector Integration - Part 1 | PDF
2-VECTOR INTEGRATION of mathematics subject | PPT
2-VECTOR INTEGRATION of mathematics subject | PPTX
Mastering the Art of Integration: Vector-Valued Functions Explored ...
Integration and vectors exam 2 - Integration and Ventors Exam 2 ...
Icono De Integración
Integration of Vectors Flashcards | Quizlet
Integral of a Vector-Valued Function Example - YouTube