Showing 120 of 120on this page. Filters & sort apply to loaded results; URL updates for sharing.120 of 120 on this page
Practical Problem Solving Tools for Factory and Office
Problem Solving Template
A3 template – Problem Solving | Download Scientific Diagram
Problem Solving Templates
5W 1H Method for Problem Solving Explained with Example
5W1H is a questioning approach and a problem solving method that aims ...
Problem Solving Sequence
What Are Problem Solving Strategies
A3 - Quick Problem Solving | PPTX
Premium Vector | 5W1H problem solving method infographic 6 point stage ...
Problem Solving Skills Diagram for Daily Practice
Ppt MMW Module 3 Problem Solving and Reasoning | PDF
Problem Solving Techniques Examples
Problem Solving 6 Steps The Six Step Problem Solving Model
Problem Solving 101: The 3W's to get you started | The After Action ...
Go And See Problem Solving | Nestlé Continuous Excellence: Goal ...
Problem Solving Steps
3rd Grade Problem Solving Word Problems Unit Lesson Plans & Math Activities
Problem Solving Strategies At Work
Steps for Problem Solving - Class 11 CBSE Computer Science - Teachoo
Different Problem Solving Strategies
Effective Problem Solving in 5 Simple Steps by Synergogy
Social Work Problem Solving Steps A Four Step Guide To Create A
A3 Problem Solving Method: Steps, Process, Examples
When to "A3"? - Three problem solving tools to match the complexity of ...
math processes ontario | Math problem solving, Math problem solving ...
Practical Problem Solving boards | My Visual Management
Problem Solving Steps Poster
3W method—what, why, how - Programmer Sought
Guide to Writing an Effective Problem Statement - ProductPlan
Effective Problem Solution
Solved 9. Solve for w. 4 6 - 3W + 5 w+ 11 6 w-3 | Chegg.com
Circuit board design experience: Do you know the important 3W ...
Problem Solving: Steps, Methods, and Tools for Effective Solutions
Polya’s 4-steps in Problem Solving.pptx
December 2019 – 3W Maths – working together so solve multiplication ...
Problem And Solution Map Problem Solution Flow Chart Basic Questions
3Ws And 1H Product Problem Ppt PowerPoint Presentation Complete Deck
3W Global Education | Colombo
Solving
Linear Equation {Solve 3w - 4 = 17} - YouTube
Lean Problem Solving. The Definitive Guide to Operational Excellence ...
Word Problem Anchor Chart for Middle School
Introducing the 3Ws: 3 questions leaders can ask to keep a team on ...
Just The Facts, Ma'am - The Five Ws
PowerPoint A3 Problem-Solving & Process Templates
The 5W2H Method Ultimate Guide: Structured Problem-Solving Explained
Use 3 W's to Explain Expectations
Free A3 Six Sigma Templates & Forms: All Formats
Product Discovery using the 3W3 Framework | by Sandeep Potdar | Nectar ...
Engage Your Classroom with the 3Ws Method | Guide
Solved Solve for w.4-3w-3=-3w-2If there is more than one | Chegg.com
Solved Solve for w :w+3w-7+1=w-2w-6 Solve using AI | Chegg.com
Solved Solve the equation.3w(3w-4)=5 | Chegg.com
Solved Solve for w.25=3w+2wSimplify your answer as much as | Chegg.com
Solved Solve.(5+w)(3w+7)=0(If there is more than one | Chegg.com
Solved Solve the rational equation. Ex9w-3-27w2-3w=-3The | Chegg.com
Solved Solve the inequality for w.3w+16
Solved Solve for w7(w-3)-3w=-13 | Chegg.com
Solved 3 Solve for w. 3+5w = 3w-11 4 Solve for x -4x+-=- | Chegg.com
Solved Solve the equation.w(w-3)(3w+4)=0 | Chegg.com
Solved 2) Solve the literal equation 3w+4wp=a for w. | Chegg.com
Solved Solve each equation:a) log5(3w+1)=2 | Chegg.com
Solved Solve for ww-3w+3+1=w-2w+4 | Chegg.com
Solved Solve the following equation.3w=18Answer: w= | Chegg.com
Solved Solve for w, where w is a real number.w=-3w+102(If | Chegg.com
Splash Screen. - ppt download
Solved: Question 13 Solve the formula for w (3w+wb)/b =c [algebra]
Solved Solve by using the quadratic formula.-3w+3=-8w2 | Chegg.com
[FREE] Solve the equation: \frac{3w + 8}{2} = 25 What is w ? - brainly.com
6 Steps On How To Improve Problem-Solving Skills
Solved Solve for w, where w is a real number.2=3w-122-1If | Chegg.com
39 Best Problem-Solving Examples (2026)
Solved Solve for w.w+5w-3+1=w-3w-6If there is more than one | Chegg.com
Mastering Problem-Solving: The Three W's Framework - YouTube
The 3 W’s: A Simple Way to Solve Problems Smarter
Defining the 3Ws, i.e, when , how & why , and what components and ...
Solved Multiply.(7w2+4w-2)(w2+3w-3)Simplify your answer. | Chegg.com
The 5W's and 1H of Kaizen | Operational excellence, Business management ...
Solved QUESTION 5 - 1 POINTSolve 3w2+3w=5 by completing | Chegg.com
Solved Solve for w|3w+9|=3 | Chegg.com
Solved: Solve for w. 3w^2=11w-6 If there is more than one solution ...
Solved Solve for w.3w+6=-6 | Chegg.com
13 Problem-Solving Activities & Exercises for Your Team | Onethread
Solved Solve for w.2w2+3w+79=(w+7)2 | Chegg.com
Solved: Solve 3w+7=19. [algebra]
Product Discovery using the 3W3 Framework
Solved Solve the equation.6w-3+3=1w-3w= | Chegg.com
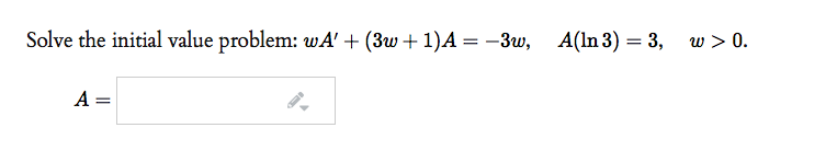
Solved Solve the initial value problem: wA' + (3w+1)A = -3w, | Chegg.com
設計總是被挑毛病,快來試試3W原則吧 - 每日頭條
Solved Solve by using the quadratic formula-3w+5=-5w2 | Chegg.com
Problem-Solving & Decision-Making (Chinese中文) | PPT
The 5W1H Method : | Process control, Process capability, Statistical ...
Solved Solve for w.-9(w-3)=-3w+15Simplify your answer as | Chegg.com
Solved Solve the equation.ww+7=13w2+10w+21+-3w+3The solution | Chegg.com
Solved Solve for w, where w is a real number. w+7=3w+13 If | Chegg.com
PPT - Accident Investigation Preparation and Preliminary Examination ...
The 5 Whys Analysis
读博的3W法则:Why、What、How - 知乎
Solved Solve for w.(w-1)2=2w2+3w+7 | Chegg.com
Practicing Your 3W's - YouTube
A Guide to Increasing Problem-Solving Skills in Kids (with Examples)A ...
The 3H approach of Learning – ThinkNow Classroom
Solved Solve for w.5w+24=19-3w+42Simplify your answer as | Chegg.com
Solved Solve for w. −2(w−4)=3w−42 Simplify your answer as | Chegg.com
Solved: Solve the formula for z. 4w+3z-7=w z= 1/3 (-3w+7) z=5w-7 z= (w+ ...
Solved Solve for w.2w2+3w-19=(w+3)2 | Chegg.com
Make It Easy to Have that Difficult Conversation
Solved: Solve for 8=3w+63+2w Simplify your answer as much as w= [algebra]
Solved: Solve for w. 3w^2-21w=0 If there is more than one solution ...
Solved Solve for w.4w+6-2(-3w-2)=2(w-1)Simplify your answer | Chegg.com
Solved Solve for w4w2w2-4=3w-2+5ww+2 | Chegg.com
5 w1h | PDF
Solved: Solve for wfrom the following equations:: 3x-2y+w=11 x+5y-2w=-9 ...
Solved Solve for w.w2+3w+2=0If there is more than one | Chegg.com
Solved Simplify: (3w)^-3 | Chegg.com