COMPUTER Group Assignment: Programming Tasks & Solutions - Studocu
Lect1 Assignments - pro - Homework lecture 1 Programming review *Note ...
SOLUTION: Cs 210 programming languages lecture notes lect 1 11 - Studypool
COS10022 Assignment 1 tasks - COS Assignment 1 tasks Review the ...
G12 - U6 - Vocabulary Exercises and Review Tasks - Studocu
SOLUTION: Lect 1 introduction to programming languages - Studypool
Unit 1 Assignment - Programming Fundamentals in Computer Science - Studocu
Assignment 1: OOP Programming Tasks and Solutions - Studocu
Answers - LECT 1 - MAT1320 - Studocu
ICD M1 LECT 1 Resumen - Intro a la Ciencia de Datos - Studocu
Business Computer Apps Week 1 - Business Computer Apps Programming Lect ...
Orm 2 6B Vocabulary and Grammar Review Tasks - Studocu
Kinematics Lect 1 - NOTES - Studocu
Lect 1 Homework - 1 Basic Math Review for PHYS 1200 - Physics of ...
SOLUTION: Lect 1 programming logic using c introduction - Studypool
PPAF05D Java Programming Assessment: Logbook & Multiplication Tasks ...
C - Programming Lect 1,2,3,4 | PDF | Computer Programming | Data Type
Unit - I - Lect - 06 - 07 - FoC Types of Programming Languages | PDF ...
Lect 1 Computing | PDF | Algorithms | Computer Programming
Sop lect 1 - Lect 1 notes - Lecture 1 What is the Science of ...
Programming 2 week 1 exercise 1 assignment - Programming II Car: UML ...
PSY1101-BPs CH 8 LECT 1 - With Najwa Haddad - Chapter 8 Memory I To VI ...
PSY1101-BPs CH 2 LECT 1 - With Najwa Haddad - CHAPTER 2 METHODS LECT 1 ...
Assignment Today - PROGRAMMING ASSISNMENT - PART 1 Python Function to ...
Bio II Lect 1 Intro to Ecology - Lect 1 Intro to Ecology 1 Lect 1 ...
Assignment 1 eng 100 lect - A computer device consists of diverse ...
Unit 6 lect 1 - unit 6 lect 1 - CON AND AD – UNIT 6 LECTURE 1 ...
Module lect 1 introduction - At the end of this topic, you should be ...
Review questions Lect 1-3 - BMV202: REVIEW QUESTIONS LECTURES Answer ...
Assignment - assesment lect - 1 INTRODUCTION Over the past several ...
BIOL 221 MCQs 1 key 2023 - MCQ Lecture 1 Key - LECT 1 Which of the ...
Lect. 1 account. Mang - Accounting For Managers - Studocu
Lect 4 - Summary Mobile Programming - Lecture 3 Android UI Controls ...
1 2024 Lect 1 Review Student | PDF | Chemical Polarity | Chemical Bond
Lect 1 - Curso - Lect 1 ¡Te damos la bienvenida al curso ...
Micro Lect 2 Part 1 - Lecture noted. - Unit 2 Homework (Part 1 ...
Physiology review and questions - Lect Renal Functions • Which renal ...
Prelim 1 Review Notes - lect. pg. 4- ' current Oz level in atmosphere ...
Modulo 2 - Descubriendo valor en los datos. Mod 2 Lect 1 Proceso KDD ...
Lect 9 review analysis - Lecture notes for Lect 9 of HS1001 - Oct. 12 ...
SOLUTION: Lect 1 web intriduction to client side programming with ...
Lect 1 - 2024 | PDF
Task 1 - Good luck - COS20007 Object Oriented Programming Task 1 C# ...
Review Questions LECT 1-3 - QUESTION ONE “South African law, with its ...
Lect 1 mod 2 resumido-(herramientas digitales) - Bloque 1Bloque ...
LECT 1 Educativa - Buena - : Asunción (Paraguay) 17(2): 365–382, 2020 ...
SOLUTION: Ch04 ehap lect 1 - Studypool
Lect - 1 | PDF
ITC Lect 05 (Computer Software and Programming Languages) - REVISED ...
Day 2 Python Lect 1 | PDF | Python (Programming Language) | Boolean ...
Lect 1. introduction to programming languages | PPT
#8-Lect 14-15-Chapt.6-12-Assignment DUE March 25 at 11:59 PM - Studocu
Intro to Micorobiology - Microbiology Lect: 1 Chap 1 Microbiology ...
Unit 1 Assignment - CS 1103, Unit 1 Assignment Part 1: Benchmarking ...
Lect 8b - Variance homework - Homework Questions Task – The cost ...
Lect 1 | PDF
1 - yes - APPC Lesson 1 Homework Answer Key 1. 2. 3. 4. 5. 6. 7. a. b ...
lect 1 (1) | PDF
Cp670 assignment 2 - notes for lect - CP670 Android Application ...
lect- EECS 3461 - PART 1 (Assignment 1 - Problem Statement/ Design ...
ELECT 2 Lect 1 | PDF
Programming 621 Assignment - FACULTY OF INFORMATION TECHNOLOGY ...
Homework TASK 1- Lesson 2 - HOMEWORK TASK 1-LESSON 2 Exercise 1: Task 1 ...
SOLUTION: Introduction to cloud computing lect 1 presentation ...
249426023 Economics MCQS e Book Download pdf - ASSIGNMENT 1 ...
CS 4407 Programming Assignment Unit 3 - Programming Assignment Unit 3 ...
ECE Intro to Cryptography Homework 3 - Non-Programming and Programming ...
LECT 1 | PDF
Lect 1 Introduction to Python | PDF | Python (Programming Language ...
Medipol AP 2324 Spring MP2 - Advanced Programming, Spring 2023- by Lect ...
The overview of the Conditionals and Recursion - Part 1 #Declare of ...
Lect 1 To 5 Sol | PDF
Iupac Lect 1 | PDF
Non Ruminant Lect 1 | PDF
FARE 1400 LECT 1- JAN 8 2024 - FARE 1400 LECT 1- INTRODUCTION 2024/01 ...
Ingles PA1: Family Events Assignment - Week 03 Task - Studocu
Lect-1A Introduction and Review | PDF | Java (Programming Language ...
New Microsoft Word Document - During the current week's task on ...
Ch.1 Deeper Insight Reading Assignment - medical imaging - BIOL 2210 ...
Short review-week2 - Summary Stochastic Processes and Time Series ...
Lect 1-Introduction | PDF
Lect #1 Ch1 04apr25 | PDF
LECT 1.pdf
Lect 1° | PDF
OOPS Note Lect-1 to 7 | PDF | Object Oriented Programming | Class ...
Lect. 1 | PDF
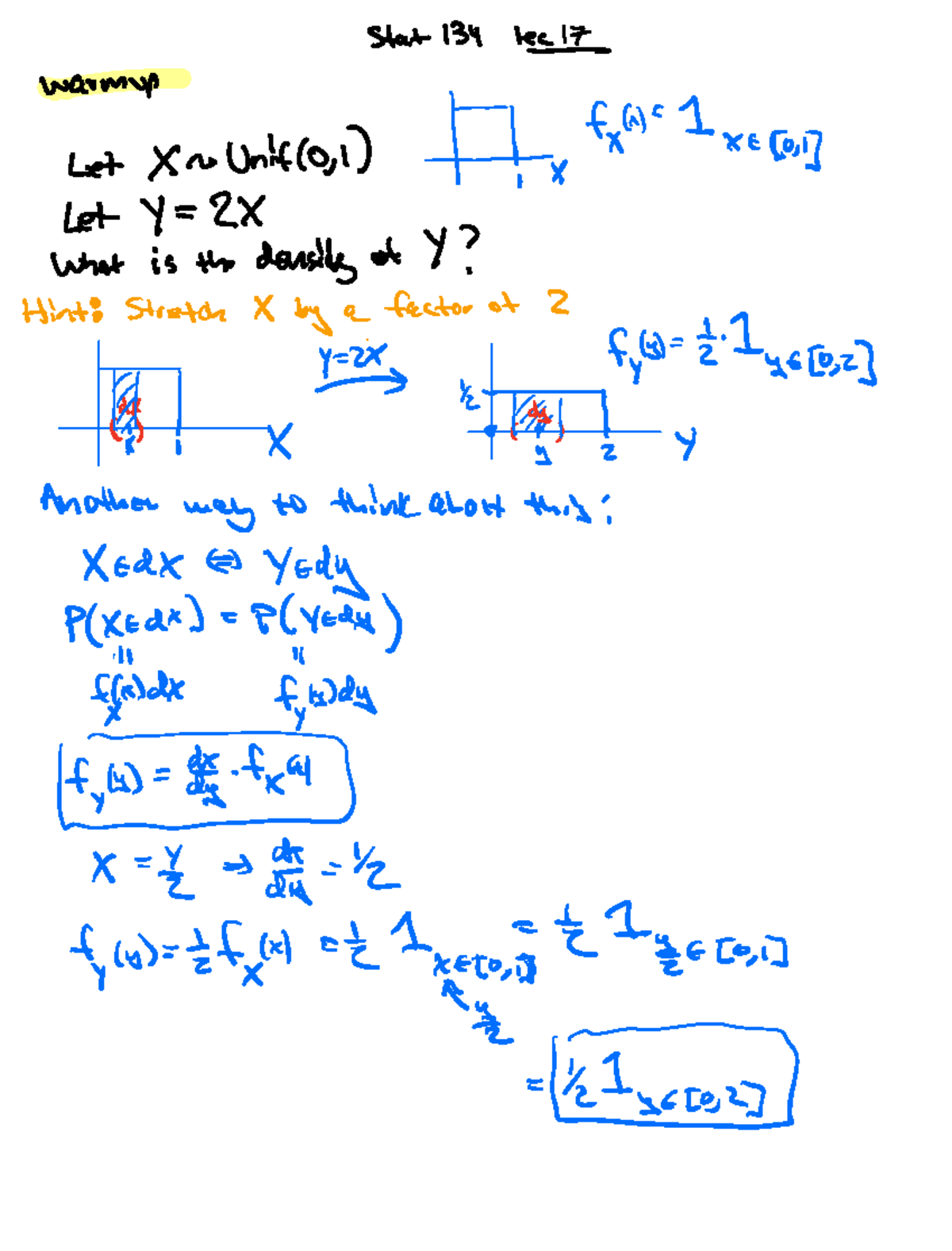
Stat 134 Midterm Review: Change of Variables and Densities - Stat 134 ...
HW6 Insert-1-1 - insert assignment - ASSIGNMENT 6 Insert/Delete ...
Peer Feedback Form 2 - Workshop 3 Peer feedback In this workshop the ...
week1-lect 2 homework - 12171793송민혁 | PDF
Homework Lab.com at Sharlene Burcham blog
D180 OPM4 Task 1: Enhancing Literacy for Nonverbal Kindergarteners ...
1-ITP-lect-1 | PDF | C (Programming Language) | Computer Program
Advanced Data Structures 2007 | PDF
Lect-1 | PDF
[Solved] Your task is to calculate the area of a triangle using a ...
Lect#1 | PDF
DLl1 Assignment: Predicting Phone Preferences from Reviews and Specs ...