Bsis32 Urea-Uv 02-2007 | PDF | Urea | Ammonia
Fluitest Urea: Catalog No | PDF | Urea | Creatinine
Fluitest Urea: Biolyzer | PDF | Urea | Enzyme
Urea Test Kit at ₹ 650/piece | Biochemistry Reagents in New Delhi | ID ...
ePaper PDF Download - English & Hindi Newspapers | Indiags
DT Ammonia 2/a (10) | 6733231
Thyssenkrupp Uhde wins FEED for BFI ammonia expansion | Ammonia ...
[A/3240/PB15] CAS 1336-21-6 | Ammonia Solution, 35%, Extra Pure, SLR, d ...
Urea | Athenese-Dx | Store
Urease Test Protocol 3223 | PDF | Growth Medium | Agar
Urea Ammonia Assay Kit Measurement Of Urea And Ammonia, 42% OFF
Luchanko Geared for Phantoms' Biggest Game | Philadelphia Flyers
April 7, 2026 | Journal Review
Miel real - Food - San Pedro Sula, Cortes | Facebook Marketplace | Facebook
𝗢𝗡𝗟𝗬 𝟯 𝗗𝗔𝗬𝗦 🔥 𝗿𝗲𝗺𝗮𝗶𝗻𝗶𝗻𝗴 𝘁𝗼 𝗮𝗽𝗽𝗹𝘆... - Isan Creative Festival | Facebook
📢... - Chiang Mai International Airport-CNX | Facebook
Metal Hammer - Donald J. Trump-Fan Jon Schaffer will zwar... | Facebook
離職票が届かない場合はどうすべき?届くまでの通常日数や届かない原因も解説 | 給与計算ソフト「マネーフォワード クラウド給与」
Ventilatorhastighedsregulator, RGE | Danfoss’ designcenter for ...
Trabajo CDMX - 💼 ¡Tu oportunidad está aquí! En la... | Facebook
v. 9 n. 1 (2026) | REVISTA BRASILEIRA DE DIREITO SOCIAL
Hoa Kỳ - Iran ngừng bắn, BTC vượt 72.000 | KuCoin
以色列轰炸也门首都总统府和石油设施 | 东亚日报
今年の麻疹患者10人中7人はベトナムなど海外で感染 | 東亜日報
جريدة الرياض | هاكان أوغلو: إنترميلان يمكنه أن يتحسن أكثر
Urea Test Kit - Urea Assay Kit Latest Price, Manufacturers & Suppliers
Urea assay kit - 27 - Labtest Diagnostica - for clinical chemistry ...
Urea Assay Kit Sigma at Anna Kowalski blog
Spontaneous formation of urea from carbon dioxide and ammonia in ...
Optimization of urease concentration by urease activity assay ( ) and ...
(PDF) Developing a fluorometric urease activity microplate assay ...
Urease activity urea produced as waste product of metabolism...
Accurate Urea Testing with the Urea Endpoint Test Kit
Urease activity measurement of different urea solutions (photographs ...
Highly Stable Potentiometric (Bio)Sensor for Urea and Urease Activity ...
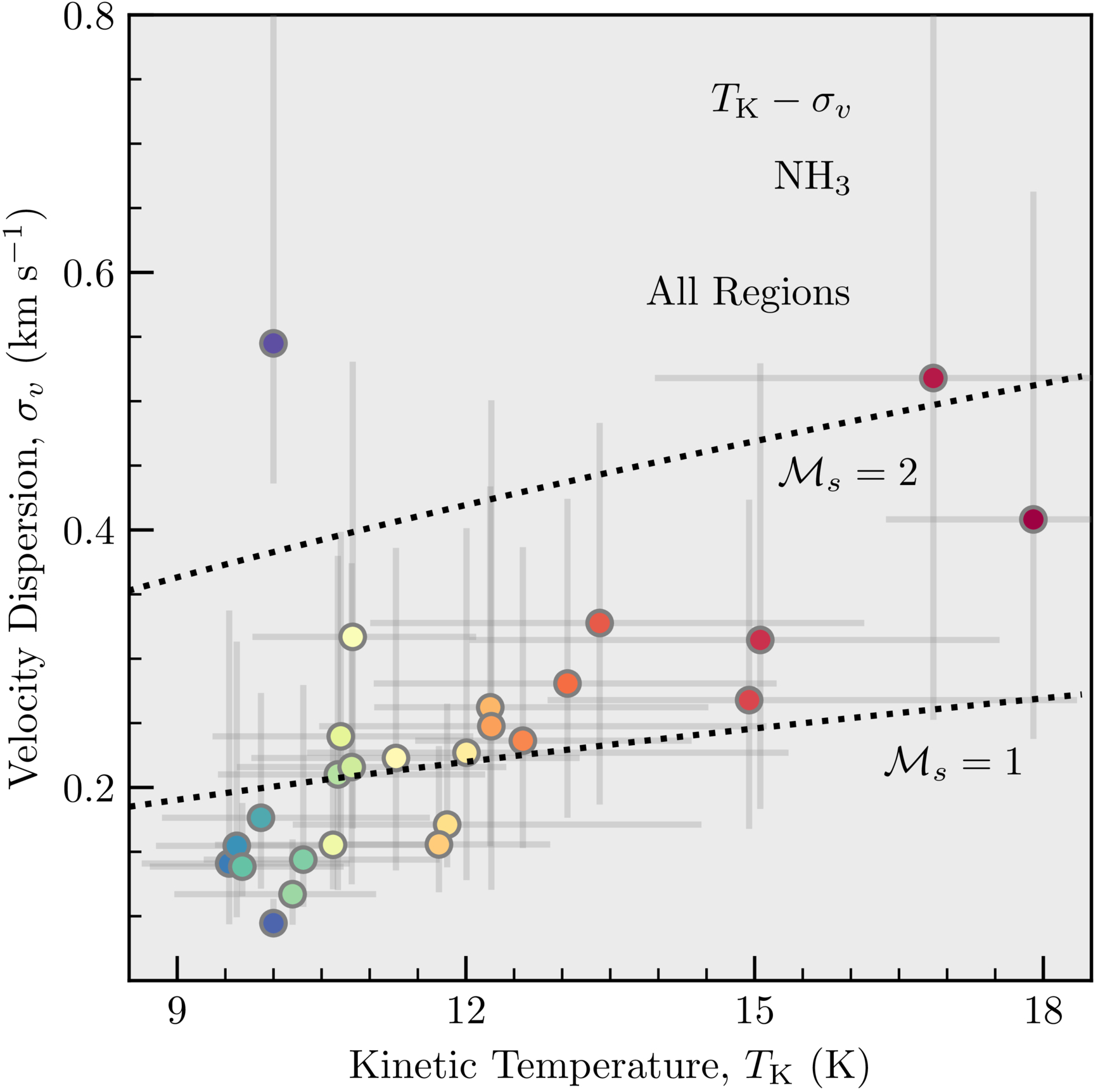
The Green Bank Ammonia Survey: Data Release 2 - IOPscience
How a simple PDF file can put your computer at hacking risk
Muti-parameters Ion Selective Electrode Ammonia Nitrogen Nitrate ...
Ammonia Exposure Elevated 5-HT Expression, Reprogrammed Transcriptome ...
Solved: The conversion of ammonia into a less toxic substance produces ...
The Useless Son-In-Law Is A System God Of War - Chapter 148 Novel & PDF ...
Farmer ID now must to purchase urea
Ammonia Solution (500ml 25-28%) – Διερευνητική Μάθηση
EMBARAZADA DEL ALFA SIN SABER - 95. EL ENFRENTAMIENTO Novela y PDF en ...
Multiparameter System Analyses Urea Ammonium Nitrate - METTLER TOLEDO
Urease enzyme activity (ammonium production/μmol/L/min) measured on two ...
Lab 5-18 Urease Test ADA.pptx - Urease Test 5-18 Theory • Urea is a ...
Fig. S1 Urease-mediated urea hydrolysis. a) Set of reactions involving ...
Urease activity of Helicobacter pylori - ppt download
Urea
Urea Hydrolysis Test
What Is A Urea Test In Microbiology at Lachlan Ricardo blog
UREA (AMMONIA) - Thermo Scientific
2026 Philadelphia Phillies season - Wikipedia
NZNBL: New Zealand National Basketball League
2026 UC Irvine Anteaters men's volleyball team - Wikipedia
Killing of Jocelyn Nungaray - Wikipedia
THE FATE-STEALER’S ASCENSION: STRIPPING THE HERO BARE - Chapter 14 ...
2026 MLB Schedule: Updated Results, Printable PDF, and Key Matchups ...
FINAL TEST FOR FRESENIUS PART 2 ( CLINICAL COMPLICATIONS HEMODIALYSIS ...
THIS GUY USED CLAUDE CODE TO DESIGN CUSTOM FURNITURE then handed the ...
Press release: The Nobel Prize in Chemistry 2024 - NobelPrize.org
Billy B's Content - Aquarium Co-Op Forum
South Korea seeks Gulf backing as Hormuz blockade strains energy supply
Musalat Urdu Novel by Bint E Aslam » Kutab Ghar - Novels
01 April 2026: Best Daily Current Affairs for SSC, RRB NTPC & APPSC ...
How to check Jeffrey Epstein files: DOJ releases thousands of photos ...
China pushes for immediate ceasefire in Mideast - Chinadaily.com.cn
Formation réanimation cardiopulmonaire
49ers News: 49ers need to gain an edge from the draft
Economy Current Affairs 2026: Current Affairs Related to Economy
Prosecutor rules GRPD officer justified in deadly shooting
UPSC CDS 2 final result 2025-26 released at upsc.gov.in – check ...
Harm reduction in nightlife settings: from data to implementation ...
F2025 MP Lab Study Guide: Blood Physiology & Analysis Lab Report - Studocu
M&S warns of brazen retail crime as flash mobs hit shops
Laser Cut Neon 'Open' Sign for Coffee Shop Decor - Free Download
Photo Report Maker App - App Store
How an ancient resin traded for centuries got snarled up by the Iran ...
Background Remover — Free AI Tool, No Signup
AUBF 2 - Amniotic Fluid and Urine Analysis Study Guide - Studocu
在线Snbdoc-readerjpg-readerexcel-reader阅读器, Snbdoc-readerjpg-readerexcel ...
美伊停火激勵美股強勁反彈! 道瓊大漲1325點、台積電ADR漲5.96%
Spinosaurus mirabilis - Wikipedia, la enciclopedia libre
🎶 Amateurs de jazz - Soutenez l’album CULTE de Kossi Mawun - Ulule
同ブログ記事のコメント欄に、井関さんが語った『マッチ売りの話』+『passacaglia』及び『Liebestod―愛の死』に関して、当時の ...
★ ★ 天主教聖安德肋小學 小五 中文 P5 Chinese 免費PDF試卷 past paper BAND1.ORG
Oskar Pietuszewski – Wikipedia, wolna encyklopedia
Reconquistando a la heredera perdida - Cap. 130- Mi novia, tiene esposo ...
Pemblokiran Wikimedia di Indonesia - Wikipedia bahasa Indonesia ...
EL ALFA OSCURO Y SU LUNA DE PLATA : Regreso a A'malur - CAPÍTULO 26: EL ...
Beginning in 2025, the recipient of the Lieutenant-General Walsh award ...
Ladislas Vergne — Wikipédia
Le cessez-le-feu entre le Hezbollah et Israël est officiellement entré ...
GB/T 13401-2025钢制对焊管件 技术规范.pdf - 规范库
Chevrolet C/K — Вікіпэдыя
लहसुन का मंडी भाव - 1KG कीमत - आज की मंडी भाव
आपके शरीर में भारी धातुएँ: वे वहाँ कैसे पहुँचीं और शरीर पर उनका प्रभाव ...
Reagen Amonia Gratis Ongkir 🔥 Harga Murah April 2026
Israele bombarda il Libano mettendo a repentaglio la tregua nel Golfo ...
Hofanlage Vorm Dorfe 15 – Wikipedia
Arctic Metagaz – Wikipedia
甘肃日报数字报平台
Preț benzină, motorină și GPL azi — Petrom, OMV, Rompetrol, Mol, Lukoil ...
La Jornada
Наличие продукции на складах ОАО "Нерудпром" (актуально на 07:30 ...
Les Emirats font état de nouvelles attaques iraniennes - L'Orient-Le Jour
Kompetenzraster Grundschule NRW Vorlage kostenlos nutzen
PlagCheck : Plagiarism Checkerアプリ - App Store
Urease Test - Lab - Urease Test- Principle, Media, Procedure and Result ...
PPT - BIOCHEMICAL TEST 1 PowerPoint Presentation, free download - ID ...
Urease enzymatic assays with protein extract from and secreted by S ...
Table 1 from Ureolytic activities of a urease-producing bacterium and ...
PPT - Summary of Biochemical Tests in Microbiology PowerPoint ...
Based on this image's title: “FT_Urease Activity Assay Kit | PDF | Ammonia | Urea”