Python Task | PDF
Python Task 1 | PDF
Python Development Task List | PDF | Encryption | World Wide Web
Python Task | Exception Handling with Asyncio - YouTube
Python Programming Performance Task | PDF
Python Print Function Exercises | PDF
Grade 7 Python Programming Worksheet | PDF | Data Type | Computers
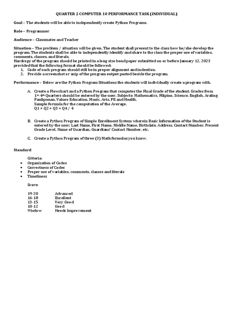
Task python | DOCX
Track Your Python Task Progress with tqdm: A Step-by-Step Tutorial | by ...
Build a Task Manager Project in Python #1 - Basic Operations - YouTube
Simple Task Manager - To do list Program in Python - Python for Data ...
Python Tutorial With Flet: Task + Management Application - YouTube
Python GUI / CLI TODO / Task Manager using Tkinter and SQLITE3 - YouTube
GitHub - VaseemaTaslim/Task-1-Simple-Task-List: Developed a Python task ...
Python - Project Help | Assignment Studio
GitHub - DevWithX/python-task-manager: My first Python project - a task ...
Task manager using python | Devpost
Python Task App: Flet Mobile UI Design Concept - YouTube
Working With PDF Annotations in Python | Medium
Python task 1. 1: Reversing a String | by Manikandan prakash | Medium
Developing an Asynchronous Task Queue in Python | TestDriven.io
Simple Task Manager App in Python Free Source Code | SourceCodester
Python task Python - 知乎
Master Python Task Automation - Ben Lacey BSc
Codsoft python task 2 # Calculator | GUI application | internship ...
Completed python task 3 with CodeAlpha | Nandinisre N posted on the ...
python tarea | PDF | Python (lenguaje de programación) | Tipo de datos
First Steps with Celery Python Task Queue - YouTube
Python Task Reminder Tutorial - YouTube
Solved Need help with these python task | Chegg.com
L0 python task - 知乎
Completed python task with codsoft | Sravya Dyaga posted on the topic ...
Hacker Rank Python Task 9 Find the Runner Up Score - YouTube
Day22 of #50daysofcodingchallenge: Python Task 3 | Abiramisri ...
Solved Task 1 Write Python code that takes an RGB tuple (for | Chegg.com
python task (Brownian motion) for @jderobot - YouTube
How to Automate Python Scripts with Task Scheduler (Windows example ...
Python From Scratch Lesson 13 PDF (Python Arrays, Classes and Objects ...
How to Schedule a Task in Python? - GeeksforGeeks
Choosing The Right Python Task Queue
A Task Manager App Built with Python
Schedule Script with Python Task Scheduler in Windows
Build a Task Manager in Python: Step-by-Step Guide for Beginners | The ...
Python Task Manager: Building Efficiency with tkinter and ttkbootstrap ...
Building A Simple Task Management System Using Python – peerdh.com
Create a Task Management System in Python with Tkinter
My first Python task: Fibonacci number generator | Vina Khandare posted ...
6 python task automation ideas guide with examples – Artofit
I Created a Python Task Manager with a User-Friendly Interface A while ...
Solved computer science question in python: Task 1.3: | Chegg.com
Access pipeline variables in Azure Release for classic python task ...
Solved (Input/Output) Write a program in Python that asks a | Chegg.com
ChatGPT output: prompt for the sixth Python task of activity one ...
Python Task 1:Create a python to send WhatsApp Messages, Emails, and ...
How Python Can Perform Pivot Tables Like Excel | by GunKurnia | Medium
웹용 Pdf 파일 아이콘의 현대적인 평면 디자인 | 프리미엄 벡터
Python Programming–Jumbled Code Task Cards (Beginner) Coding Unplugged ...
Build "Task Manager" Mobile App with Kivy Framework / Python - YouTube
Completed my third Python task! | Guru Govindh Malarvanan posted on the ...
Run python from windows taskscheduler | PPTX
Completed my third Python task: Password Generator | ERIC JEEVAN A ...
hacker rank python task |Given an integer, n , perform the following ...
[38] Fixed! Using airplane.dev to automate a Python task for checking ...
Completed Python Task-5 with CodSoft | Gandham Ramya Sri posted on the ...
Build A BMI Calculator Using Python || Task 3 Demo Video || Oasis ...
Automating Python Scripts using Windows Task Scheduler
スキャンした PDF をまっすぐにするには? (3 つの簡単な方法) | [Official] UPDF
Hemanth kumar N on LinkedIn: Python Task 2
Python Power: Automate Like a Pro-Free Python Task Automation
Simulations and Modeling with SimPy | by Deepak | Top Python Libraries ...
Task Reminder Application using Python – Learn Programming
Run Python Script Windows Command - Dibujos Cute Para Imprimir
Managing Task Queues In Python – peerdh.com
PDF Viewer | Figma Community
3 Best Ways to Remove the Signature Field from PDF | UPDF
Celery Versus ARQ Choosing the Right Task Queue for Python Applications ...
About Us - Learn more about the team behind the product - PDF Guru
How to Edit PDFs Using Microsoft Edge's Built-In PDF Editor - Guiding Tech
Pattern programs in python – Artofit
Python For Loops Explained (Python for Data Science Basics #5)
GitHub - Afra4331/trajectory-python-task
What to Know about Automating Tasks with Python Scripts
GitHub - JosephEmeka/python-task
Python: Task Manager #python #python_task #python_manager #python_task ...
Do any types of python task, from data to image processing by ...
CODSOFT-Intern-Pinaki-TO-DO-LIST-Website-using-PYTHON-Task-1 - YouTube
How to Create Your Own Python Environment with KNIME: A Step-by-Step ...
Pdf Mit 180 Zentangle® Mustern Zum Ausdrucken Pdf How To Convert pdf ...
PDF 문서를 다른 언어로 번역하는 최고의 AI 도구 3가지
Resolved-Task Scheduler (0x1) and (0x2) Error In Windows | TheCodeBuzz
pdf png 解像度, pdf png 変換 windows – CEVOX
PDF Compressor to 500MB Online! (Free)
(PDF) Setting up Python 3.4, numpy, and matplotlib on your own Windows ...
Schriftgröße im PDF-Formular ändern: 3 Möglichkeiten | [Official] UPDF
Pdf Icon 24x24
Convert IPYNB to PDF with 4 Excellent Ways [Simple & Practical]
PDF to PNG Converter – Free & No Sign-up
Mastering Delayed Tasks in Python: Celery and Celery Beat | by Pynest ...
Microsoft Unlicensed Product: Fix Word/Excel 365 Activation
Weather Forecast Project in Python: Step-by-Step Guide
Los mejores descargadores de Course Heroes online gratis (2025)
Understanding DPI for Scanning Photos: A Comprehensive Guide
Printable Smart Goals Worksheet
(PDF) Error Location in Python: Where the Mutants Hidewebdocs.cs ...
ChatGPT-pdf/README.md at main · liady/ChatGPT-pdf · GitHub
Based on this image's title: “Python - Task | PDF”