Ejercicios Resueltos en Java Bucles for - while - do while – Digital Nest
Ejercicios resueltos con bucles While.Do while y For | Java - YouTube
Los BUCLES FOR y WHILE - con ejercicios resueltos y proyecto - PYTHON ...
Clase 11. E05 - Repeticiones Bucles For, While y Do While en Java ...
Ciclos o Bucles | Do While | Caja Registradora en JAVA - YouTube
Ejercicios Resueltos en Java Objetos (POO) – Digital Nest
10 Ejercicios resueltos de bucles en Java - Codigo Dev
18 - Bucles Do While | PDF | Java (lenguaje de programación ...
Ejercicios Resueltos en Java condicionales – Digital Nest
SOLUTION: Ejercicios utilizando bucles while y do while - Studypool
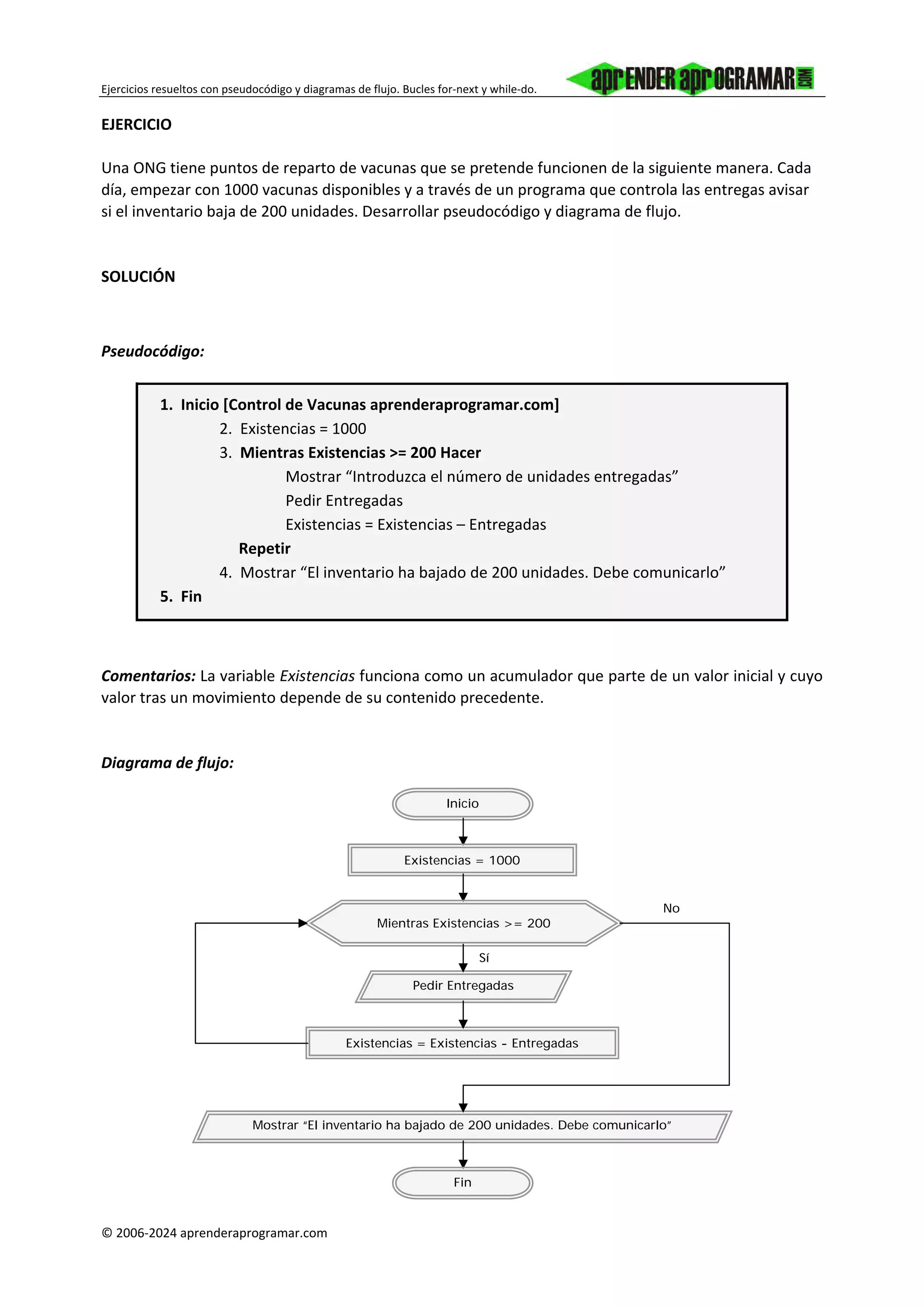
CU00161A Ejercicios Resueltos Diagramas Flujo Bucles For Next While Do ...
Ejercicios de Bucles For y While Python 2025 - BigBayData.com
como hacer un bucle for - while en java - Netbeans - YouTube
Cu00161 a ejercicios resueltos diagramas flujo bucles for next while do ...
Bucles en JavaScript - Do ... While | Aprendoencasa
CURSO DE JAVA DESDE CERO - Lección 40 : Ciclo Do While en Java - YouTube
Bloque Java 3.2: Ejemplo Bucles For y While - YouTube
JAVA Arraylist Ciclos For y Do While | Ejercicio Practico - YouTube
BUCLES (FOR, WHILE, DO WHILE) en JAVA - Tutorial Completo Fácil - YouTube
CURSO de JAVA Clase 09: BUCLE WHILE y DO WHILE - created by ABATIC ...
Ejercicios de bucles while en JavaScript | PDF | Script Java ...
Bucles en JavaScript - While | Aprendoencasa
Bucles en JavaScript: Ejercicios resueltos - Codigo Dev
Vdocuments - Pub Ejercicios Resueltos en Java | PDF | Java (lenguaje de ...
SOLUTION: Ejercicios resueltos en java - Studypool
Soluciones ejercicios Java (5) – Bucles y saltos - 10 - Recursos para ...
SOLUTION: Ejercicios con estructura de control for while do while java ...
Ejercicios Do While y For | PDF | Java (lenguaje de programación ...
Bucles en Java: for, while y do-while - Modo Debug
¿Qué son los BUCLES en Programación? #java | WHILE & FOR | JAVA para ...
13 - Bucles while y do while - Curso Javascript desde cero - YouTube
Curso Java 2025. Bucles III. While vs do-While. Vídeo 20 - YouTube
🔴Curso de Java #10 - While y Do-While en Java - YouTube
Programación Java - Ejercicios de Bucles Anidados en Java | PDF
El bucle WHILE - MASTER EN JAVA - #11 - YouTube
Soluciones ejercicios Java (5) – Bucles y saltos – 11 - Recursos para ...
Como utilizar los Bucles: While en Java - YouTube
Estructura Iterativa bucle Do While (15-25) Curso de Java - Algoritmos ...
Ejercicio JAVA 02: Ciclos for,do while, while - YouTube
160 Minutos de Ejercicios con Bucles y el Ciclo For en JAVA | Programas ...
CU00659B ciclos o bucles while do while java ejemplo break
3 Ejercicios resueltos con do while
While y do while en Java (ciclos o bucles). Ejemplo break: salir de un ...
Ejercicios resueltos JavaScript – Ciclos (Bucles) – Digital Nest
SOLUTION: Java – Bucles explicados: for, while y do-while con ejemplos ...
Ejercicios Resueltos: Ciclo Do-While en Programación Java - Studocu
Bucles en JavaScript Do While Aprendoencasa
12 - Bucles "while" y "do"/"while" - Ejercicios del curso en español de ...
Java Do While – Cienciayt
BUCLE WHILE EN C++ | Un ejemplo práctico - YouTube
😦💻 Ciclo Do While en java Ejercicio 2 Java desde cero Estructuras ...
🥇 【 Bucles - For - Java Básico
TUTORIAL JAVA CAPITULO 5: BUCLE WHILE Y DO-WHILE - YouTube
CLASE #24 "Ciclos o Bucles (while, do-while y for) en Java" - YouTube
Ejercicios Bucles WHILE | PDF | Estructura de datos de matriz ...
🥇 【 Bucles -While - Java Básico
Diagrama De Flujo Do While Ejemplos Resueltos Coleccin
Ejercicios de bucles Java resueltos para mejorar tu programación
Prueba Básica Java (Bucles for, while y do while) Quiz
Tip Java 8 : Bucle Do While | Erick Nicolas Gonzalez Rojas
Ciclo DO-WHILE en Java ☕ - YouTube
Ejercicios de Bucles en Java | PDF | Python (lenguaje de programación ...
Curso de Java #07 | Fundamentos de la programación V: Bucles for, while ...
Curso de Java - Correção Exercícios Aula 17 (while, do-while, for ...
Ejercicio 10 JAVA - Tabla con BUCLES - YouTube
Curso de Java desde Cero | BUCLES, [DO-WHILE], (video 29) - YouTube
WHILE Y DO WHILE (mientras y repetir hasta)I Programar desde cero clase ...
Ejercicios Bucle While Soluciones | PDF | Programación de computadoras ...
Ejercicios Bucles | PDF | Java (lenguaje de programación) | Paradigmas ...
EJERCICIOS EN JAVA (BUCLES) | Sheila Rojas | uDocz
Guía de Bucles en Java para Estudiantes | PDF | Java (lenguaje de ...
Ejercicios resueltos de java | DOCX
💻 BUCLES WHILE ¿Qué son y cómo funcionan? 💻 | Cómo funciona un bucle ...
🔥 Curso Maestro de JAVA: DOMINANDO el BUCLE WHILE y DO-WHILE en JAVA! 🔁 ...
#12 Como usar bucles FOR y FOREACH en Java! ejercicio practico[JAVA ...
Curso de Java: Bucles (while, for, do-while) - YouTube
EJERCICIOS JAVA RESUELTOS
Ejercicios en java | DOCX
Bucles en Java: Guía Práctica | PDF | Java (lenguaje de programación ...
Ejercicio resuelto - Java - Programación desde cero - Patricia E. Miguel
Ejercicios de bucles Java resueltos: mejora tu programación
Episodio 15: "Maestría en Bucles: Ejercicios para Dominar While, For y ...
Bucles: Explicación de los bucles y While | Curso de programación ...
EJERCICIOS JAVA RESUELTOS | Ejercicios de Metodología de Programación ...
Curso de Java: Bucle while, do-while - El Blog de Euler
Video #38 - Java.- Estructura do-while 🤓 Ejercicio 1 👀| Aprendiendo ...
Ejercicios con bucles repetitivos | PDF
El ciclo do-while - dCodinGames
Java EstructurasControl Bucles | PDF | Flujo de control | Java ...
Fundamentos de Programación - BUCLE: DO-WHILE, (video 38) - YouTube
EJERCICIOS DE SENTENCIAS REPETITIVAS O BUCLES | El Mundo de los Códigos ...
Bucles en Programación: Guía Detallada » CodigoNautas
PPT - EL LENGUAJE DE PROGRAMACIÓN C PowerPoint Presentation, free ...
TEMA 12: Ciclos y Bucles
Java Program to Reverse a Number and find the Sum of its Digits Using ...
EJERCICIO 11- Programación Java bucle (do while) [Lenguaje JAVA] [bucle ...
Resuelto:En Java, ¿Cuál es la diferencia clave entre un bucle for y un ...
Curso Java 05: Descubriendo el Poder de los Bucles: Explicando las ...
Aprende Javascript: Expresiones condicionales, bucles e iteración (if ...
Bucles · GitBook
Tu Rincón Informatico: Ejercicios Resueltos(Java)
Ejercicio N 2 While-Java | PDF