Range Function In Python | Python Range Function With Example | Python ...
OS31a - Solved Example 1 | Mutex | GATE - YouTube
Permutation & Combination-02 - Solved Example | PDF
Matrices and Determinants-02 - Solved Example | PDF | Matrix ...
Heat and Energy - Solved Examples - Solved Example - ICSE | PDF ...
DM DT Solved Example 01 - Unlocked | PDF | Analysis | Algorithms And ...
Unseen Scenario Solved Example - IGCSE CS OL | PDF
Algorithm & Solved Example - ADALINE | PDF | Artificial Neural Network ...
2 - Capacitance - Solved Example Module-4 | PDF
HS - 2 Solved Example | PDF
PCA solved example step by step | AIwithGowtham - AiwithGowtham
MOSFET - Solved Example Problems For Practice | PDF | Mosfet | Field ...
Unit - 1 Maths (Short) Solved Example | PDF
#1. RBFS | Recursive Best First Search Solved Example in Artificial ...
Karnaugh Map or K-Map - Solving Steps, Solved Example Problems | PDF ...
Boussinesq's Equation - Assumptions, Derivation & Solved Example | PDF ...
Properties of Solution & Triangle-02 - Solved Example | PDF | Triangle ...
Binomial Theorem-02 - Solved Example | PDF | Discrete Mathematics ...
3 - D - Solved Example | PDF | Plane (Geometry) | Equations
Vector-02 - Solved Example | PDF | Triangle | Plane (Geometry)
How To Find Critical Value In Statistics | Outlier
I Integration-02 - Solved Example | PDF | Trigonometric Functions ...
First Come First Serve - FCFS Scheduling | FCFS in OS (Solved Example 2 ...
Area Under Curve-02 - Solved Example | PDF | Area | Tangent
Function class 12 solved example #shorts - YouTube
for Loop with range() Function in Python - YouTube
Chapter #3 Solved Example || Computer 10th - YouTube
IPV4 Header Solved Example Q | PDF
Math Practical Solved Example | PDF
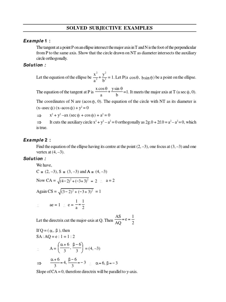
Ellipse-02- Solved Example | PDF | Ellipse | Circle
2. Alpha Beta Pruning Solved Example | Alpha Beta Search | Alpha Beta ...
SPCC Solved Example | PDF
Solved Example L3+ | PDF
Nodal Analysis: Example Problems Solved | PDF | Electrical Network ...
GA Solved Example CitizenChoice | PDF | Genetic Algorithm ...
Solved I will send you a solved example and solve my | Chegg.com
Naïve Bayes Classifier Algorithm | Solved Example Naïve Bayes Algorithm ...
Decision Tree using C4.5 Algorithm Solved Numerical Example | C4.5 ...
Solved Alpha-beta pruning example please solve this alpha | Chegg.com
Graph Theory Solved Example Part 1 | PDF
Practice Problem and Solved Example OM | PDF | Biometrics
solved example 4 and 5 - YouTube
Solved Example 6.70 Calculating a Surface Integral. | Chegg.com
OS 21 : Buddy System with Solved Example - YouTube
Probability-Theory & Solved Example Module-6-A | PDF | Mathematics ...
RATIONAL NUMBERS EX-1 SOLVED EXAMPLE PROBLEMS - YouTube
Solved Example Problems For Propagation of Errors | PDF | Mathematics ...
Indefinite Integration Special Type Solved Example - YouTube
Thick Walled Cylinders Solved Example Problem - YouTube
Polarisation Solved Example | PDF
1. Naive Bayesian Classification with Solved Example and Demo - YouTube
Poisson Distribution of Probability With Solved Example | PDF | Poisson ...
Circular convolution with solved example - YouTube
PCA Numerical based solved example part 3 - YouTube
K Means Clustering Algorithm | K Means Solved Numerical Example ...
#1. Q Learning Algorithm Solved Example | Reinforcement Learning ...
Solved Example Problem 2 - Mesh Analysis #bee - YouTube
Solved Example Problem 4 – Transformer #bee - YouTube
CLASS-4:- SOLVED EXAMPLE ON MESH ANALYSIS. - YouTube
KNN Solved Example | PDF | Algorithms | Data Analysis
Logistive Regression Solved Example | PDF
kMeans with solved example and demo | Uday kiran Rage
Prim's Algorithm Coding Implementation | Logic - Dry run | Solved ...
Solved Example Nodal Analysis - YouTube
Range Function In Python Explained with Examples
01 - Ionic Equilibrium (Solved Example) D | PDF | Acid | Ph
Range in Statistics - GeeksforGeeks
Superposition Theorem - Circuit Analysis with Solved Example
SOLUTION: Best first search bfs algorithm bfs solved example in ...
SOLUTION: 4 point dft introduction and solved example - Studypool
SOLUTION: Otto cycle and solved example questions - Studypool
#1. Greedy best first search algorithm Solved Example in Artificial ...
Solved Example & Practice Problems - Equilibrium, Concurrent Force ...
SOLUTION: Numerical the sor method solved example - Studypool
SOLUTION: 10 solved example complex number - Studypool
Confusion Matrix: How To Use It & Interpret Results [Examples]
SOLUTION: Solved example connections 1 - Studypool
SOLUTION: A a star search algorithm with solved example in artificial ...
Solved example about Correlation and Regression - An environmentalist ...
Nodal Analysis - Solved Example Problems - Electrical Circuits
DBSCAN Clustering Algorithm Solved Numerical Example in Machine ...
SOLUTION: Force method solved example - Studypool
AES Solved Example on Encryption all rounds.pdf
SOLUTION: A star search algorithm explained a search solved example ...
SOLUTION: Chapter function jee important formulae and solved example ...
Study of Ammonia Solved Examples Solved Example 2cb18e27 2da6 4b15 A463 ...
SOLUTION: TRIANGLES:- Full Chapter Notes With Solved Example Questions ...
What Is A Range Python at George Cho blog
SOLUTION: Physical quantity and measurement solved example and problem ...
Chapter 6: Cache Mapping Solved Example 1| Computer Architecture and ...
Solved Example & Practice Problems: Magnitude of resultant
SOLUTION: Knapsack problem using Branch n Bound with solved example ...
SOLVED EXAMPLEple 57. Three vectors Aˉ,Bˉ,Cˉ are shown in the figure. Fi..
SOLUTION: Linear programming solved example with step by step process ...
SOLUTION: Design of water structure culvert solved example faculty of ...
Human-Evolution Solved-Examples Solved-Example | PDF | Natural ...
SOLUTION: Solved example of Design of Concrete section (Singly & doubly ...
Binomial Distribution With Solved Example and Exercise || Tutorial 5 (B ...
SOLUTION: Important MCQ on Partial fraction and its Solved example ...
Solved Example Problem 8 – Transformer Efficiency and Regulation #bee ...
Python Range() Function: The Definitive Video Tutorial 🤴
Python Ranges
10 Basic Code For Python With Solution
Interfaces and Abstract Classes in Python: Understanding the ...
Synthetic Division - GeeksforGeeks
Taylor's Series Expansion of Multivariable functions up to second ...
Uniform Cost Search Tree Example at Christopher Hannan blog
WBBSE Solutions For Class 7 Maths Geometry Chapter 4 Congruence ...
Examples Of List Python
Maths#Class 9th#Exponents of Real Number #RD Sharma#Solved Example 5 # ...
Normal Distribution Questions Core Maths at Harold Case blog
SOLUTION: Civil engineering steel year 3 additional problems lrfd aisc ...
Based on this image's title: “How to use Range class in Python | Solved example | TechitEazy - YouTube”