Double integration by parts | PDF
HOW TO INTEGRATION BY PARTS TWICE | Integral of x^2sin(x) using double ...
Double Integration by Parts - Paperblog
Integration by parts | PPT
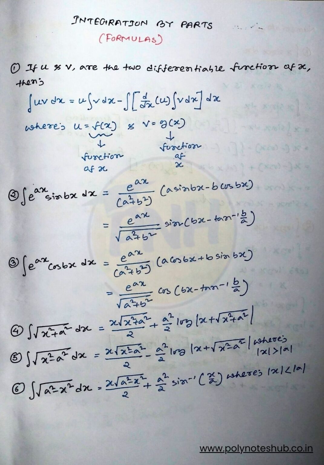
Best Integration by Parts Handwritten Notes PDF [2026] - Poly Notes Hub
Integration by Parts - Partner Activity | Teaching Resources
Integration by parts 1 online exercise for | Live Worksheets
Double Integration by Parts - YouTube
numerical methods - Using a successive double integration by parts show ...
Tabular Method - Integration By Parts | Calculus 2 Lesson 12 - JK Math ...
Integration By Parts Worksheet by Math Fortress | TPT
Solved Evaluate the integral using integration by parts with | Chegg.com
Integration By Parts
Integration by Parts Formula - Derivation, ILATE Rule and Examples
Integration By Parts Examples Find Integration Lnx Or Log X
Integrating By Parts Integration By Parts For Definite Integrals
Calculus : Integration BY Parts - SAT PREP
calculus - Double integration with infinity bounds and integration by ...
Solved Worksheet for Section 7.1− Integration by Parts The ...
SOLUTION: Integration by Parts Formulas Notes and Examples Paper ...
Integration by Parts Example Problem #3 - Engineer4Free: The #1 Source ...
Integration by Parts - Formula, Derivation, Applications, Examples
Module 3 Integration U-Substitution Algebraic and Trigo Functions | PDF
Integration By Parts Formula Derivation - YouTube
Integration by Parts
Solve Tough Integrals with Double Integration by Parts. #apcalculusbc # ...
Integration By Parts Calculus Worksheet
Integration By Parts - YouTube
13 integration by parts 3 solve by using bernoullis formula...
Reduction Formulas For Integration by Parts With Solved Examples
Integration By Parts - Tabular Method - YouTube
SOLUTION: Integration by parts practice questions - Studypool ...
Lecture in Integration by Parts – Pinoybix Engineering
Integration by parts formula in mathematics. Mathematics resources for ...
GraphicMaths - Integration by parts - LIATE rule
Integration by Parts - 2 WS (16 problems, detailed solutions ...
GraphicMaths - Integration by parts
Derive integration by parts formula - YouTube
Integration By Parts Shortcut Formula
Integration By Parts Worksheet
Integration By Parts Example
Integration By Parts Integration By Parts A Plus Topper
Matemáticas con Tecnología: Integration by Parts Twice
SOLUTION: Integration by parts practice sheet - Studypool
Integration Formulas - Trig, Definite Integrals - Class 12 - PDF
Splitting a Double Integral Into Two Parts to Find Area - YouTube
Double Integral Overview, Properties & Examples - Lesson | Study.com
Double integral of function 2xe^x in [0,1] x [0,1] (by parts ...
Integrating By Parts
2 Basic Integration Formula Continued - Chapter 7 Class 12.JPG | Math ...
Integration Formulas List: Get PDF From Math Portal.
Solved Show that: L{coskt}=s2+k2s For s>0. Hint: Double | Chegg.com
Solved Show that: L{sinhkt}=s2−k2k For s>∣k∣. Hint: Double | Chegg.com
웹용 Pdf 파일 아이콘의 현대적인 평면 디자인 | 프리미엄 벡터
Pfaffian differential equations-methods of solution part1 | PDF
Integration by Partial Fractions - Definition, Formulas, Steps and Examples
Calming Coloring Pages (30 Free PDF Printables) | Crafty Cici Joy
Agoraphobia DSM 5 Criteria & Example | Free PDF Download
Di Integration Method at Sophia Shellshear blog
List of Integral Formulas - Rules for integration, Solved Example PDF
Integration Formulas Sheet
High school calculus worksheets for Microsoft PowerPoint | TPT
Double Integrals Explained at Carlo Simmons blog
Integration Formulas For Uv
Pdf Printable Calendars 2025 March
Uv Rule For Integration
pdf png 解像度, pdf png 変換 windows – CEVOX
Integrales, reglas de integración, métodos de resolución | PPT
How to Add Pages to a PDF in Adobe Reader [Full Guide] - EaseUS
Windows 11 | How-To Geek
Why Are Pdf Icons On Desktop Black at Sarah Boydston blog
Integration (Part 2)_SA (1)bhhbhhhh.pptx
Hadapsar Voter List 2026 PDF (Maharashtra) – Download & Search Name in ...
Compress PDF to 4MB: Reduce & Resize Online! (Free)
Ds 160 Form Sample ≡ Fill Out Printable PDF Forms Online
Solved For each integral, determine which of the following | Chegg.com
43 Burro para colorir - Desenhos em PDF Grátis para Imprimir
About Us - Learn more about the team behind the product - PDF Guru
Multiplication Table 1 15 Printable Pdf Free - Infoupdate.org
Download Chart Pattern Cheat Sheet PDF - Essential for Stock Trading
Solved We want to compute the integral | Chegg.com
Relationship Building Worksheet for Couples - PDF Printable - DIGITAL ...
How to Edit PDFs Using Microsoft Edge's Built-In PDF Editor - Guiding Tech
DBT Cheat Sheet | Coping skills, Mental health activities ...
Free Printable Multiplication Charts PDF Sheet and Multiplication ...
Integrating Calculator
Integral Formula Sheet
Resize image for TikTok online for free
Printable Integrals Table
Definite Integral For Class 12 Formulas
Integral Calculator - Examples, Online Integral Calculator
Trigonometric Substitution: Method, Formula and Solved Examples ...
INTEGRACIÓN POR PARTES.pdf
Understanding DPI for Scanning Photos: A Comprehensive Guide
fitysusa - Blog
Grade 12 Trigonometry Worksheet - Kevinmathscience Practice Problems ...
Integración tabular: forma más rápida y precisa de resolver la ...
3 Printable ABC Tracing Worksheets (PDF Downloads)
Cognitive Distortions (PDF & Editable PPT) - Etsy
Dog Breed Coloring Pages Printable - Infoupdate.org
Printable Blends And Digraphs Chart [PDF Included] - Number Dyslexia
Partial Fractions Cheat Sheet Simplify Fractions And Common
Free Printable 2025 Pink Calendar Templates - The Incremental Mama
Daily Gratitude Journal Templates - 22 FREE Positivity Diary
Based on this image's title: “Double integration by parts | PDF”