Faraday’s Laws of Electromagnetic Induction: First Law & Second Law ...
Faraday's Law EPISODE 304 "The Lines of Alaise" | Ad rates, Simulation ...
Faraday’s Law of Induction: Lenz’s Law | Physics
Faraday’s Law of Induction: The Journey of a Law of Physics Through ...
Faraday’s Law and Lenz's Law Electromagnetic Induction Simulation ...
PLUS TWO/Electrochemistry part 9/Faraday's law of electrolysis/CGK ...
PhET simulation of faraday's law - YouTube
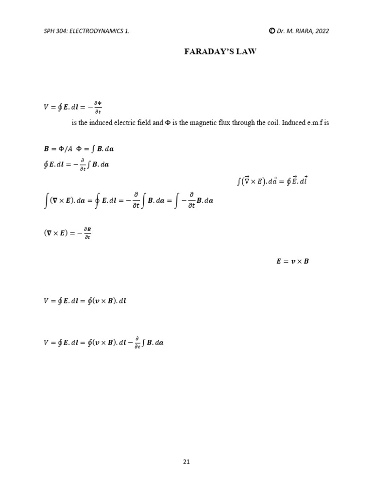
11.1.2 Faradays Law Part 2 | PDF | Electromagnetic Induction | Magnetic ...
Exploring Faraday's Law of Electromagnetism: A PhET Simulation | Course ...
Simulation: Faraday’s Law of Induction – Physics Lens
SOLUTION: Faraday s law and electrodynamics - Studypool
Faraday's Law simulation - YouTube
ELECTROMAGNETIC INDUCTION | FARADAY'S LAW | Simulation Based Concept ...
Electrodynamics Tutorials with Python Simulations
SOLUTION: Faraday's Law Simulation - Studypool
Faraday's Law Simulation - YouTube
Faraday's Law 2 | PDF
SOLUTION: Electrodynamics faraday s law and fleming s right hand rule ...
SOLUTION: Electrodynamics motional emf faraday s law notes - Studypool
Faraday's Law of Induction Class 12, 10- Electromagnetic Induction
Solved Problem 4 - Exploring Faraday's Law Part II Suppose | Chegg.com
Electrodynamics Tutorials with Python Simulations - 1st Edition - Taej
Faraday's Law and Electrodynamics Concepts | PDF | Magnetism | Magnetic ...
Python Physics: Visualizing Faraday's Law - YouTube
Exploring Faraday's Law with PhET Simulation | Course Hero
Exploring Faraday's Law through Electromagnetic Lab Simulation | Course ...
ELECTRODYNAMICS |FARADAY LAW | IIT JAM PHYSICS 2023 | PHYZIX CRAZE ...
Faradays Law PhET simulation - YouTube
Faraday's law | Displacement current | Lec - 43 | Electrodynamics - YouTube
Electrodynamics | Electromotive force, Faraday's Law and Lenz Law ...
Faraday's Law | Phet Simulation - YouTube
Introduction to Discrete Event Simulation with Python | by Vito ...
PhET Simulation Online Lab: Faraday's Law by Step by Step Science
Faraday Law of Electromagnetic Induction- EMI- Lenz Law ...
Solved Problem 4 Exploring Faraday's Law Part II Suppose we | Chegg.com
Faraday Law JavaScript HTML5 Applet Simulation Model by Seng Kwang Tan ...
Exploring Faraday's Law in Physics - Simulation Lab on | Course Hero
Understanding Faraday's Law through Simulation | Course Hero
Faraday Law of Electromagnetic Induction EMI Lenz Law Electromagnetic ...
Electrodynamics | Faraday Laws | Amperes Force Law | - YouTube
Faraday's Law phet.docx - PHY105 Name: Simulation Lab: Faraday's Law ...
SOLVED: Write down the integral form of Faraday's law (Maxwell's third ...
Faraday’s Laws Of Electromagnetic Induction - Unifyphysics
Exploring Induction: Faraday's Law PhET Simulation Lab for | Course Hero
Integral and Differential form of Faraday's Law of Electromagnetic ...
Exploring Electromagnetism and Faraday's Law Simulation | Course Hero
Faradays Law Of Induction
PhET Simulation Electromagnetic Induction | Exploring Faraday's Law ...
Faraday's Law of Elecrtomagnetic Induction (PHET Simulation) - YouTube
Electrochemistry (Faraday's Law of Electrolysis) | PDF
Faradays Law Lab - Directions: Open the Faraday’s Law phet.colorado/en ...
Faradays Law Of Electrolysis
Understanding Faraday's Law through Simulation and Data | Course Hero
Simulation on faraday's law - YouTube
Faraday’s Law||Electrodynamics||Electricity and magnetism||Unit 3 ...
Phet Lab Faraday's Law at Ola Cahoon blog
Faraday - S Law | PDF
Lab #11: Faraday's Law Virtual Lab Directions - Studocu
Faraday's Electromagnetic Lab - Faraday's Law | Lenz's Law ...
PHET Interactive Simulations: Faraday's Law | WCED ePortal
Laboratorio 3 - Python - Ley de Faraday - Medios de Transmisión | PDF ...
Faraday's Law - Magnetic Field | Magnets - PhET Interactive Simulations
Solving the 2D Poisson Equation with Finite Element Method (FEM) – Part ...
PhET Simulation: Faraday's Law Online Lab by Step by Step Science
FARADAY'S LAW (Electrodynamics) - YouTube
Electrodynamics |Maxwell’s equations| Electromagnetic (EM)Waves ...
Faraday's Law (Physics 2) | PDF
Faraday's Law - PHET Simulator - YouTube
Faraday's Law | PDF
Faraday's Law Lab Demo - YouTube
Simulating Electrons with Python : r/physicsjokes
Free Video: Calculate Electric Field Vectors with Python from Dot ...
How to integrate Python with Tableau to Improve your Graphs
Generator - Faraday's Law | Magnetic Field | Induction - PhET ...
Physics 110 Lab: Faraday's Law | PDF
Hukum Faraday Menggunakan Phet Simulation - YouTube
Faradays Law Generator
Electrolysis, Faraday laws of electrolysis with questions.pptx
FARADAYS LAW | PHYSICS ANIMATIONS AND SIMULATIONS | INTERACTIVE ...
Solved Explore Faraday's Law 1. The first simulator shows | Chegg.com
Lecture 20 Colorado PhET Faradays Law - YouTube
Faraday's Law Lab: Induction & EMF Experiment
Lab 09 - Faraday's Law PhET Simulation.docx - Faraday's Law: Virtual ...
What Is Faraday's Law Formula
E&M: Faraday's Law. Level 2, Example 2 - YouTube
Understanding Faraday's Law: Electrodynamics & Fields | Course Hero
Electrochemistry Faraday Law (3rd Part) | PDF
Faraday. Description: A Python tool designed to… | by Aardvark Infinity ...
FaradaysLawLab.pdf - Directions: Open the Faraday's Law 1.1.2 ...
SOLUTION: Faraday's Laws of Electrolysis - Studypool
Faraday's Law phet.docx - Name: Date: Directions: Open the Faraday's ...
Exploring Faraday's Law: Electromagnetism Simulation | Course Hero
Magnetic Flow Meter Explained | Working Principles - RealPars
Simulating electrostatic fields in 2-dimensions using Python3 ...
Faraday's electromagnetic lab | energy conversion
Faraday's Laws || Electromagnetic Induction:02 ||Faraday's Experiments ...
GitHub - fahadmujawar/ELECTROMAGNETIC-SIMULATION-USING-THE-FDTD-METHOD ...
Electromagnetic Induction Faraday.
GitHub - phetsims/faradays-electromagnetic-lab: "Faraday's ...
Electric Field Calculations with Python: An Introduction
GitHub - phetsims/faradays-law: "Faraday's Law" is an educational ...
Back2Basics: Electrodynamics: Electromagnetic Induction and Faraday's ...
Electrolysis and Faraday's Law, Electroplating - Chemistry - YouTube
python-faraday
Based on this image's title: “Python simulation of Faraday’s law electrodynamics part 2”