Solved Course Home E = Value Units Submit Request Answer | Chegg.com
Solved Solve for " E " and " C ". Show your | Chegg.com
Solved 2. The effect of the Fed's policy on the markets for | Chegg.com
Solved Part D (4 of 12) - Predicting Changes in | Chegg.com
Solved A tube with a bell-mouth inlet configuration is | Chegg.com
Solved 2:08WhatsAppAAchegg.com三CheggThis problem has been | Chegg.com
Solved help | Chegg.com
Solved Question | Chegg.com
Solved Course Home | Chegg.com
Solved 0 A | Chegg.com
Solved Solve | Chegg.com
Solved calc work | Chegg.com
Solved x C chegg study IGuided Sc x D hw week 2.pdf C Secure | Chegg.com
Solved Vo)) 11:37 8 www.chegg.com = Chegg Study Find | Chegg.com
Solved us-east-1 | Chegg.com
Solved Review We would like to solve for the equation | Chegg.com
Solved .com | Chegg.com
Solved This is a problem on Cheggs and I understand the | Chegg.com
Solved calculations-including answers submitted in | Chegg.com
Solved 20:47ttps://www.chegg.com/homeCheggLearn on the | Chegg.com
Solved Chegg Study TEXTBOOK SOLUTIONS EXPERT O&A home / | Chegg.com
Solved Use Engineering Equation Solver to evaluate the | Chegg.com
Solved Solve C please | Chegg.com
Solved I need help with this | Chegg.com
Solved * 77141:38 chegg.com/homework-h 3 : Show transcribed | Chegg.com
Solved Assignments | Chegg.com
Get Homework Help with Chegg Study | Chegg.com
Problem 4. Use the moment distribution method to | Chegg.com
Question | Chegg.com
Consider the hypotheses shown below. Given that | Chegg.com
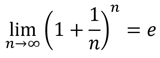
The Most Important Number You’ve Never Noticed: e e ≈ 2.71828… It’s ...
(ECON 304) Chapter 9 and 11 equations Flashcards | Quizlet
Chem Lab Final Review Flashcards | Quizlet
Solved: Consider the following balanced reaction: CH_4(g)+2O_2(g)to CO ...
Dewalt-DWE4215-IN at ₹ 6515/piece | Angle Grinder in Hyderabad | ID ...
Chegg collapse: How AI wiped out a $14B edtech giant | YourStory
Chem Lab Quiz 9 Flashcards | Quizlet
ECON 463 Chapter 8 Flashcards | Quizlet
Solved: What happens to position of equili… | Chemistry | ScanSolve
Solved: Write the vector equations in co… | Mathematics | ScanSolve
Webster County Throws Combined No-Hitter to Best Lady Panthers | Your ...
Quest 1 - cp 1 and 2 material (please see those sets) Flashcards | Quizlet
Diorette Single Earring Pink Gold, Diamonds and Lacquer | DIOR
Ducks vs Oilers : Aperçu match no 2 | LNH.com
JET magazine - 【#JETFashion】HOKA x XLIM聯乘系列:重塑Mafate Speed... | Facebook
2/3 Conformance gels can be soft and movable for easier placement or ...
No.. there is no space time to manipulate. Inertia is a sequential lag ...
Chegg Coupons for April 2026
Normal White Blood Cell (WBC) Count - Face Surgery
Chegg Trivia Challenge: Students Solve Equations While Balancing on One Leg
Chegg lays off 45% of workforce as AI impacts online learning business ...
Answered: MISSED THIS? Read Section 20.4 (Pages 905-913); Watch KCV 20. ...
GSK granted FDA priority review for Ionis-partnered hep B drug
Which of the following statements are correct about the postulates of ...
Solved: Balance the reaction. A coefficient of "1" is understood ...
Canada beats Italy in extra end to stay unbeaten
Find "x" https://t.co/eERbgEblgR
Solved: BALANCING CHEMICAL EQUATIONS Parts of a Chemical Reaction: Find ...
Chegg billed as 'first company' to be made fully obsolete by AI - AI ...
Solved: Predict the products of each reaction, and whether the solution ...
AI-powered study tools changing higher education
Master your writing with AI-powered tools
মোঃ - Good morning 💐 #popular viral picture collection wonderful ...
Draw Cis-1-ethyl-3-isopropylcyclohexane In Its Lowest Energy ...
Chegg and LegalZoom shares skyrocket, what you need to know
Lilmidgetbaddie Onlyfans Pics Videos By Creators #785
What Is The Direct Evidence
Leyland Italian Antonello's latest to be targeted in months-long ...
Chegg Sues Alphabet, Says Google AI Led to Strategic Review
Chegg Layoffs 2024: Office Closures & Staff Cuts - News Usa Today
Solved: Problem 30 of 41 A phase diagram for CO_2 is shown below ...
Curved Arrow Notation Derive Second Equation Of Motion By Graphical ...
Soldering and Crimping: Pros and Cons of Each Method
All-Time Highs, Best-Time Buys? The Surprising S&P 500 Truth ...
Incomplete Combustion Equation Phet Balancing Chemical Equations ...
Solved: A solution is prepared by combining 1.0 L of 0.50MHClO_2 with 1 ...
This company becomes first to be wiped out by AI...
Solved: tple Choice 2 points Which of the following reactions would be ...
Igcse Maths Past Papers Double Replacement Reaction » Contextparent17
CHEM1101 Assignment 4 Solutions: Conversion and Sign Figures - Studocu
Nike Factory Store Cheshire Oaks. ELLESMERE PORT, GBR. Nike.com GB
Draw Cis-1-ethyl-2-isopropylcyclohexane In Its Lowest Energy ...
Propane Combustion Chemical Equation Is Rust A Synthesis Reaction ...
CHE 243 Engineering Thermodynamics Assignment 9 Solutions - Studocu
Ch 15 NChO Homework: Equilibrium Constant & Reaction Dynamics - Studocu
Propane Balanced Combustion Equation Ncert Physics Formula Pdf
Chemistry Echem: Electrolysis Calculations and Examples - Studocu
Propane Balanced Chemical Equation Aqa Physics Equations To Learn
Formula Of Mass Defect Balanced Chemical Equation For Decomposition
Chegg Stock Has Lost 99% of Its Value — and the Story Behind It Is ...
141 Tutorial 7 Part 1: General Approach to Solving Equations - Studocu
AI का असर: अमेरिका की Chegg की 15 अरब डॉलर कंपनी पर संकट
何润东突然火了,全网扒他国籍和立场,结果发现根本不是那么回事_中国_项羽_霸王
US Chegg company News in Marathi, Latest US Chegg company news, photos ...
锡马画中跑,最是江南好!2025无锡马拉松圆满落幕(含成绩证书下载)_选手_樱花_健将
晚清唐子桢款粉彩四方山水纹水盂(民窑精品) - 抖音
揭秘专精特新服务商哪家好用,实用攻略奉上_申报_企业_高新邦
소파스코어 예언도하냐? - 국내축구 - 에펨코리아
Sentenced to Be a Hero Strafe: Rettungseinsatz im Hafenviertel Ioff ...
Despierta - Chavi dijo que su familia vive lejos, pero "hacen el ...
Washington a suspendu le partage de renseignements pour faire plier l ...
Sunil Yadav Elected President, Shaheen Saba Elected General Secretary ...
科学攻破油痘肌难题 ,The Ordinary 研度公式「功效护肤游戏厅」限时上线 - 时尚 - 绿网
“챗GPT 등장에 백기”… 체그, 전체 직원 45% 해고
Sınırlı miktarda üretiliyor, kilosu 40 bin TL'ye satılıyor
హైదరాబాద్ నిజాంపేట్లో అగ్ని ప్రమాదం.. మూడు షాపులు దగ్ధం
Chegg 2.0 : Example of using Equation Renderer tools - YouTube
Chegg - Review 2021 - PCMag UK
Based on this image's title: “Solved E → Co | Chegg.com”