Maths Class VI Practice Test 01 Chapter 07 Fractions | PDF | Numbers ...
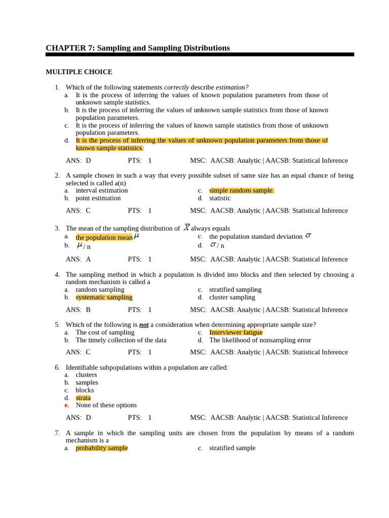
Chapter 07 Sampling | PDF | Sampling (Statistics) | Statistics
Chapter 07 | Massimo Osti Studio
ICSE Class 9 Chemistry Chapter 07 Study of Gas Laws | PDF
Chapter 07 - Drona Putra Ko Dand | PDF
Chapter 07 ICD-10 CM Coding | PDF | Health Economics | Health Care
Overlord New World Chapter 07 | Overlord Wiki | Fandom
Chapter 07 – “I hope I never see a mountain again as long as I live ...
Principles of assessment for ems chapter 07 | PPT
Practical 03 | PDF
Remedies of Breach of Contract: Chapter - 07 | PDF | Damages | Legal Remedy
Econ606 chapter 07 2020 | PPTX
Chapter 07 Lab Flashcards | Quizlet
Read The Worst Guy in the Universe - Chapter 07 | MangaMirror
CIT 101 Practical 03 | PDF | Boolean Data Type | Computer Programming
AIML Practical 03 22105A2021 | PDF | Accuracy And Precision | Data Analysis
Maths Practical 03 | PDF
Chapter 07 - RESTRICTION - CHAPTER 7 Operating Systems Understand the ...
Chapter 07 - computer 1001 lecture notes ch 7 - Chapter 7 FILES AND ...
Lecture Slides-Chapter 07 - Chapter 7. Relations Again Reminder: for ...
Chapter 07 d - Xtra Problems - Chapter 7 Additional Problems Chapter 7 ...
Exam View - Chapter 07 - Understanding Nursing research 7th edition by ...
Chapter 07 - Determinant Dimensions - Chapter 7 Determinant Dimensions ...
Chapter 07 v2 - quiz practice material - CHAPTER 7- MOTIVATING FOR ...
Afaan Oromo Chapter 07 - Wikibooks, open books for an open world ...
Fundamentals of Chemistry Chapter 7 - Chapter 07 Problem Set Due: 11 ...
Chapter 07 - good practice - Business Essentials, Canadian Edition, 9e ...
Chapter 07 Solutions Manual 3 9 2023 Revised - Chapter 7 Reporting and ...
Chapter 07 Worksheet Worked - Chapter 7. Worksheet 1: Energy Terms and ...
CHAPTER 07 CONTROL OF GENE EXPRESSION MOLECULAR BIOLOGY OF THE CELL ...
Exam View - Chapter 07 - Practice questions with rationales - Chapter ...
Listen to Bhagavad Gita - Chapter 07 Summary - Jnana Vijnana Yoga by ...
Lecture Note - Chapter 07 - CHAPTER 7 Net Present Value and Other ...
Chapter 07 Gases Liquids and Solids Practice Questions - CHAPTER 7 ...
Chapter 07 - The Road to Revolution - Chapter 07 - The Road to ...
Chapter 07 Vol II Roads - Additional - Roads:Geometricdesignand ...
Stream Harry Potter and the Order of the Phoenix - Chapter 07 - The ...
Exam View - Chapter 07 - Test Bank- Womens Health - Chapter 07 ...
Excel Practical# 03 Attendance Sheet | PDF | Mathematics
Chapter 7 Multiple Choice Questions - Docx Ihrm | PDF
Test bank Chapter 7 Investment Bodie - Chapter 07 Optimal Risky ...
ANTH 200 Chapter 07 - Summary People and Culture - Chapter 7: The ...
Booker's Little Book Chapter 07 Bourbon 750 ml 2023 release - The Hut ...
Chapter 07 GE - Testbank - Human Resource Management, Global Edition ...
Chapter 07 Chapter Quiz Questions-TIF - Which type of memory can ...
Chapter 07 – Money General Price Levels and Banking Systems - krclass.lk
Financial-Accounting-Chapter 7 - Chapter 07 Reporting and Interpreting ...
Phillips 6e Chapter 07 TB Answer Key - Fundamentals of Financial ...
Chapter 07 - Mastering Angular Form Validation: Simplify Errors with ...
Chapter 7 Test Bank - managerial accounting - Chapter 07 Cash and ...
Exam View - Chapter 07 - Chapter 07: Domestic and Family Violence ...
Draft Write up PDP Chapter 07 - CHAPTER 7: Promoting Philippine Culture ...
Bodie 11e Chapter 07 TB Answer Key answer - Essentials of Investments ...
Whitecotton 4e Chapter 07 TB - Managerial Accounting, 4e (Whitecotton ...
chapter 07 - page 03 - The Masked Queen
Verilog VHDL code Parallel adder | PDF
Canvas For Practical-03 | PDF
Class 7 Speed, Distance, Time Problems | PDF
软件设计哲学 - A Philosophy of Software Design - Chapter 07 - 总结_哔哩哔哩_bilibili
Liquefaction of soil | PPT
verification and validation | PPTX
FINANCE FOR NON-FINANCIAL MANAGERS | PPTX
Transmission Control Protocol (TCP) | PPTX
Axapta Interface Guide | PDF
Chapter 07
Mayday, mayday, mayday | PPTX
Chapter-07 Answers - chapter 7 workbook. - 7 Blood Collection Equipment ...
Surface mount technology(smt) | PPTX | Chemistry | Science
Chapter 07-1: Urinary System—Part 1 Chabner: The Language of Medicine ...
Project Management The Managerial Process Chap 07 Test Bank - 7 ...
Letter of Credit (LC) Presentation | PPTX
Chapter 07: Foundations of Planning - True/False Questions and Concepts ...
Final Fantasy XIII Walkthrough: Chapter 7 - Palumpolum (Part 1 ...
Transsaharantradenetwork | PPT
Impulse and momentum(physics) | PPT
Types of projections | PDF
Icru 50 | PPTX
CV js updated | PDF | Air Travel | Travel Type
Classification of Algorithms | PPTX
chapter 07
C# Tutorial MSM_Murach chapter-07-slides | PPT
Different types of sandwich | PPT
GameMath-Chapter 11 운동학 | PPT
Her Benny (Warne 1879) - Chapter 07 Stock Photo - Alamy
Chapter 07 - Collections - Financial Policy Documents
Batch search strategy | DOCX
One Page Sales Plan | PDF
Chapter 07 Foundations of Planning_word文档在线阅读与下载_无忧文档
Chapter 07 Cellular Respiration Lecture Notes and Overview - Studocu
Ch07 - Questions related to chapter 7 of the textbook, Physical ...
Ch07-01 WH Master Data - Chapter 07- 01 : Warehouse Management (WM ...
Tracing Light Path in Glass Slab Experiment | PDF | Refraction | Light
7 classical assumptions of ordinary least squares | DOCX
Chapter 07 - Bad News - Detail
Sports Science Careers | PPT
SATHEE: Chapter 07 Electromagnetism Induction And Alternating Current
Chapter 07 硫磺回收_word文档在线阅读与下载_无忧文档
Kennyo Chapter 07
#7 Chapter.07-色欲 | 星话樱恼 - 耳ふの小説シリーズ - pixiv
Slides Chapter 07 (SS 2012) version 23Apr2012_word文档在线阅读与下载_无忧文档
Her Royal Destiny - Chapter - 07 ᴍʏ ʙᴀʙʏ - Page 2 - Wattpad
Exam View - Chapter 18 - Chapter 18: The Preschool Child Leifer ...
Solution manual for intermediate accounting ifrs 4th edition by donald ...
Practical: 03: REG NO: 2021BEC511 Roll No: A72 Name: Vrushabha R Bagde ...
Solutions Manual 9th Edition - Solutions Manual Fundamentals of ...
Receiving - Receiving Menurut Wijayanti (2017:10), Fungsi gudang ...
駿河屋 - 1/6:READY TO KISS/木村ゆみか/生写真 Chapter 07(女性生写真)
Kaiju No. 8 8 : Matsumoto, Naoya, Clark, Karla, Evelyn, David: Amazon ...
SOLUTION: Biochemistry - Biochemistry laboratory experiment - lab ...
Python-Inheritance.pptx
CHAPTER-XI-FIRE-AND-ARSON-Forensic .pptx
Fire Detection and Alarm System (FDAS).pptx
Class 11 - Biology Notes: Advanced Understanding Made Easy
Safety-Moment-SIMOPS-gas-venting.pptx
SSC Physics Chapter-07: পদার্থবিজ্ঞান অধ্যায়-০৭(তরঙ্গ ও শব্দ)
MIS-17 Laudon Chapter-07 - Internet security - Studocu
《超级机器人大战Y》隐藏要素/支线关卡解锁攻略-地狱大大-旅法师营地
UPSC CDS 2025 Notification Out; Apply at upsconline.gov.in
Practical-03: MS Word Features & Letterhead Creation Guide - Studocu
Based on this image's title: “Chapter – 07 | Practical 03 | Using Arithmetic Operator create Java ...”