Chapter 1 - Introduction To Management | Download Free PDF | Business ...
Chapter 1 Introduction To Psychology | PDF | Psychology | Cognition
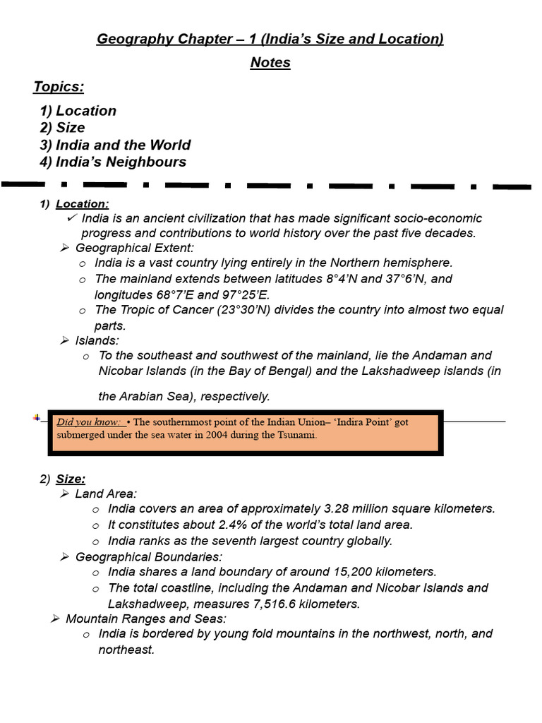
Geography Chapter - 1 class 9 notes | PDF | Asia | South Asia
Chapter 3 - Introduction to Javascript (1).pdf
Printable Lined Paper PNG - Word | Google Docs | PDF | Adobe ...
Basics of JavaScript PDF: Your Essential Introduction to JavaScript ...
3 Best Ways to Remove the Signature Field from PDF | UPDF
How to Add Comments to a PDF | WPS Office Blog
Free PDF to PPT converter: Convert PDF to PowerPoint | Canva
How To Download An Email As PDF | Robots.net
قصص لتعليم الأطفال القراءة pdf تحميل مباشر | Kids story books, Arabic ...
웹용 Pdf 파일 아이콘의 현대적인 평면 디자인 | 프리미엄 벡터
スキャンした PDF をまっすぐにするには? (3 つの簡単な方法) | [Official] UPDF
How to Add Pages to a PDF in Adobe Reader [Full Guide] - EaseUS
Conversor gratuito de PDF a PPT: Convierte PDF a PowerPoint | Canva
10 Best Free PDF Readers [2025 Updated] | GeeksforGeeks
Pictures Of Ice Cream Sundaes To Color And Print Free Pdf - Infoupdate.org
Foods to Lower Cholesterol Guide/ Chart, 2 Page Pdf PRINTABLE DOWNLOADS ...
Therapy Termination Letter & Example | Free PDF Download
February 2026 Calendars | 40 Free Printable PDF
Free Printable Lion Pictures To Color Pdf - Infoupdate.org
ADHD To-Do List & Example | Free PDF Download
PDF Viewer | Figma Community
Free Printable Cursive Practice Sheets PDF Download - Printables for ...
How to Edit PDFs Using Microsoft Edge's Built-In PDF Editor - Guiding Tech
Relationship Building Worksheet for Couples - PDF Printable - DIGITAL ...
Trauma Worksheet & Example | Free PDF Download
Test de VAK (visual, auditivo y kinestésico) | Ejemplo PDF | Carepatron
Multiplication Table 1 15 Printable Pdf Free - Infoupdate.org
Functional Gait Assessment (FGA) & Example | Free PDF Download
Mental Status Exam Template & Example | Free PDF Download
Edinburgh Postnatal Depression Scale (EPDS) & Example | Free PDF Download
Costoclavicular Test & Example | Free PDF Download
Pdf Logo - Vecteurs : téléchargez gratuitement des vecteurs de haute ...
mrunal jadhav badlapur | PDF
PDF to PNG - Free PDF Converter
Color Test Page | Printer color pdf pages for testing
About Us - Learn more about the team behind the product - PDF Guru
How to Create PDF from HTML on Windows
How to Convert PDF to Pickle: Free Online Tools
Schriftgröße im PDF-Formular ändern: 3 Möglichkeiten | [Official] UPDF
Compress PDF to 550KB: Reduce & Resize Online! (Free)
Windows 11 | How-To Geek
Chapter-1 Introduction to Statistics.pdf
PDFファイルを開くとMicrosoft Edgeで開く。Adobe Acrobat Readerで開くには? | 高齢者のためのICT教室
43 Burro para colorir - Desenhos em PDF Grátis para Imprimir
Hadapsar Voter List 2026 PDF (Maharashtra) – Download & Search Name in ...
Download Chart Pattern Cheat Sheet PDF - Essential for Stock Trading
GitHub - jmpaz/ChatGPT-export: A Chrome extension for downloading your ...
Complete Floor Plan With Dimensions And Dimensions Pdf - Infoupdate.org
Types Of Dinosaurs Coloring Pages Pdf - Infoupdate.org
How to Insert PDF into Google Doc in 3 Ways
Cómo convertir un PDF en Word y archivos de imagen - Licendi
(PDF) Introduction to Children's Literature in Second Language Education
Free Printable Glycemic Index Food Chart PDF - Printables for Everyone
PDFファイルのアイコンが変わってしまった | 流科サービス
Cute Dragon Coloring Pages Free Pdf - Infoupdate.org
Ben 10 Clic All Aliens Name With Images Pdf - Infoupdate.org
Hoist Inspection Checklist PDF Form - FormsPal
Printable PDF Weekly Timesheet Items. Printable Timesheet. Time Card ...
What Is A Bill Pdf Form - Infoupdate.org
Free Printable Daisy Flower Coloring Pages For Toddlers Pdf ...
Livro De Matemática 9 Ano Manual Do Professor Pdf 2023 - RETOEDU
Free Medical Templates for Healthcare Professionals | Carepatron
Barbie Coloring Pages Printable Pdf - Infoupdate.org
Corrective Action Plan Exle Pdf - Infoupdate.org
Naruto Coloring Pages Printable Pdf - Infoupdate.org
Graffiti Letters A Z Easy Drawing Pdf - Infoupdate.org
HDFC Bank Customer Request Form for Opening/Conversion to a Collection ...
10 programas para editar archivos PDF - El Proyector de Clase
Dibujos Para Colorear Y Imprimir Flores Para Imprimir Pdf - Infoupdate.org
Free Printable Multiplication Charts PDF Sheet and Multiplication ...
Dibujos Dinosaurios Para Colorear E Imprimir Gratis Pdf - Infoupdate.org
Exemple De Plan De Soins Infirmiers En Pédiatrie Pdf Guide Complet - Faire
Power Mudras PDF Printable - Etsy
The Incredibles 2 Colouring Pages Printable Free Pdf - Infoupdate.org
PDF Coloring Pages + 500 Free Drawings To Print and Color
The Best Workout Routine For Beginners Pdf - Infoupdate.org
Pdf Visualizzatore Free
Pdf Printable Calendars 2025 March
pdf png 解像度, pdf png 変換 windows – CEVOX
“Cheat Sheets” for PDF, for free! – PDF Association
Dog Breed Coloring Pages Printable - Infoupdate.org
Bold And Easy Coloring Pages Printable - MIT Printable
Ds 160 Form Sample ≡ Fill Out Printable PDF Forms Online
Free Printable 2025 Pink Calendar Templates - The Incremental Mama
Cognitive Distortions (PDF & Editable PPT) - Etsy
Daily Gratitude Journal Templates - 22 FREE Positivity Diary
Form 5 Birth Certificate ≡ Fill Out Printable PDF Forms Online
Calendarios Anuales 2026 Stranger Things en PDF [GRATIS]
HDFC Bank Application Form for New/Re-Issuance/Upgrade of Business ...
[Available] [True PDF] Engineering Mechanics: Statics 15th Edition : r ...
23 Printable Mindfulness Worksheets for Adults in 2024 - Happier Human
Employee Information Form ≡ Fill Out Printable PDF Forms Online
Pikachu Drawing Pokemon Card Printable Free - Infoupdate.org
Solicitud De Empleo Hecha , Carta de Solicitud de Empleo Ejemplos y ...
1 Page Resume Template Free Download (.docx & .pdf)
List Of Rhyming Words For Grade 5 - Infoupdate.org
Letter E Coloring Pages Images Free - Infoupdate.org
在线制作电子签名和在PDF中添加电子签名的方法 - UPDF
How Do I Sign a Secured PDF? - Food Stamps
Free printable daily planner pdf, Download Free printable daily planner ...
Printable Candlestick Patterns Cheat Sheet PDF
Barbie Malvorlagen Zum Ausdrucken Kostenlosen - Infoupdate.org
[Java Script] 자바스크립트
Resize image for TikTok online for free
Printable Free Coloring Pages For Adults
3 Printable ABC Tracing Worksheets (PDF Downloads)
Contoh Surat Lamaran Kerja Jual Kertas Cv Lamaran Kerja Terbaru Jan
38+ Free Business Memo Templates & Examples
NCERT Class 8 Science Book PDF, Get Download Link Here
Pin en crear con papel de colores
Free Shopping List Templates (PDF, Word, Excel)
Free Printable Invoice Templates [Excel, Word, PDF] & Blank Download
40 Printable Temperature Log Sheets (Word, Excel, PDF)
Based on this image's title: “Chapter 1 - Introduction To JavaScript Ahmed Thaer | PDF | Java Script ...”