MATH GRADE 12 MARCH 2025 CONTROLLED TEST QUESTIONS & MEMO - Studocu
MATH 354 Test 4 Past Paper - Calculus & Fourier Transform Questions ...
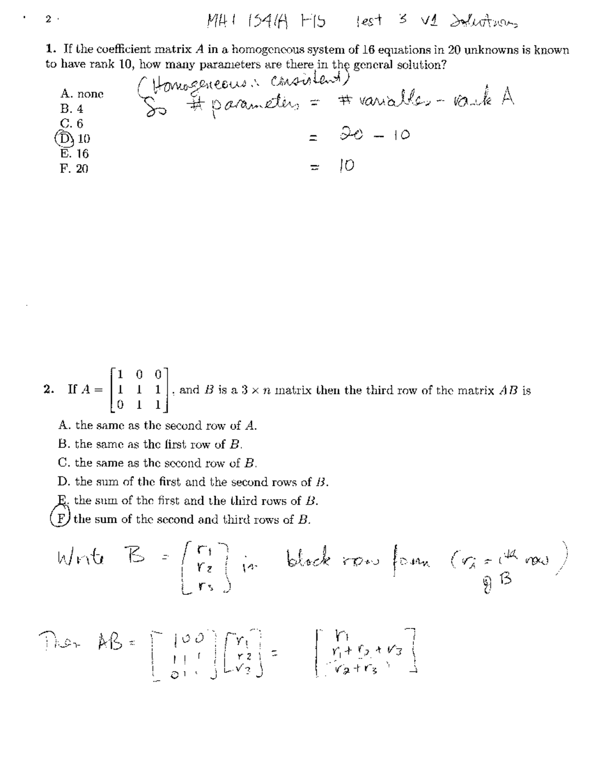
2015 Test 3 - Math 131 - Studocu
2015 Fall Midterm - MATH 208 - Studocu
Fall 2015.pdf - Math 2204 Common Final Exam Fall 2015 Test Version: A ...
Math 3 Released Exam 2015 - Practice Questions and Solutions | Course Hero
Mid Test Fall 2010, questions - Math 208 Mid Term Test EE Fall 2010 ...
Test 3 Spring 2015 Key - Exam Key - MATH 251 - Studocu
Pharmacy Math Questions for Phct Exam Preparation - Studocu
Math 3330 - Fall 19 - Quiz 4 Solution - CSE 3380 - Studocu
Test 2015, questions - Mathematics 244 Algebra Semester Test 2015 28 ...
MATH 32 Test 3 - Test paper - Math 32, Fall 2015, Term Test III, Study ...
Test 1 Review Calc3 - MATH 158 - Studocu
F15t3s - fall 2015, test 3 solution - MAT1341 - Studocu
QUIZ BEE - Mathematics Quiz Questions for Science and Math 2023 - Studocu
Fall 2015.pdf - Math 1530 Final Exam Fall 2015 Name Section ...
Fall 15 Exam 1 Solution.pdf - MATH 213 Fall 2015 Exam 1 Name: Solutions ...
Test 3- 2015 - test 2015 with memo - 188 - Studocu
2015 Fall - midterm - COMP 232 - Studocu
Final 2015, questions and answers - Math 204 - Studocu
Test 3 solutions - Test 3 - Math 1104 - Studocu
Exam 1 January 2015, questions and answers - Math 1X03 - Studocu
m0324 t3 review 10 .pdf - Math 0324 Test #3 Review Fall 2019 MULTIPLE ...
Exam I Math 3A Fall 2015 - Math 3A Exam I Fall 2015 Name Lecture and ...
Midterm 1 Fall 2013 V3 - MATH 1850 - Studocu
Chapter 3 test 2 - Math prac tests - Student name ...
Quiz1 Fall 2014 - prev - MATH 201: Calculus and Analytic Geometry III ...
Quiz 4 - MATH 103 - Studocu
MATM1534 Calculus Semester Test 3 2025 Memo - Studocu
Quiz2 Fall 2014 - prev - MATH 201: Calculus and Analytic Geometry III ...
Exam View - Calc3 Fall 19 final 001 - Name(Last, First): - Studocu
Lecture 7 notes chapters 3.4and 3.5 - MATH 3A - Studocu
MATH115 F14 A4 - Study reference - Math 115 Fall 2014 Assignment 4 1 1 ...
Math 150-Exam 3-Solutions-Fall-2014 - 150 - Studocu
Fa17-Math150-Test2.docx - Math 150 Applied Calculus Fall 2017 Student ...
MATH 1314 - College Algebra - Studocu
Math 335 Course Overview: Fall 2014 | PDF | Test (Assessment) | Chaos ...
Math 314 - Fall 2023 Midterm 2 Practice Questions: Factoring 57 ...
MATH 311–503/505 Fall 2015 Sample problems for Test 2
NUT FALL 2019 Quiz Ch - Quiz 8 covered by power points with questions ...
Ch 3 - Math - MATH 003 - Studocu
Math 115 Ch3 notes - MATH 115L - Studocu
Prep for Unit 3 (Spring 2024) - MATH 1530 Prep for Unit 3 - Studocu
334Exam2Prac2022Fall - MATH 334 - Studocu
Calculus preparation exam material package - MATH 155 - Studocu
MATH115 F14 prac3 - Study reference - Math 115 Fall 2014 Additional ...
Math 114 College Algebra - Studocu
Test 3 (2015 ) - Practice - MATH142 - Studocu
Math 215 unit 4 course guide and self study - In Unit 3, we discussed ...
Math 315 Second Practice Exam - Solutions and Problems | Course Hero
3u 12172021075159 - Math 1600 - Studocu
Math 343 F12 Day 19 - Homework - Math 343 Fall 2012 Lecture Day 19 ...
Course Outline For-Software Evoluationand Maintenance - 1 3 4 5 6 7 CLO ...
MATH 115 Fall 2014 Quiz 3 Solutions - MATH 115 QUIZ 3 10-29-2014 Name ...
Lecture 1-Calculus 3 - MATH 2415 - Studocu
Discrete Mathematics (CLO1) Assignment #1 - Fall 2025 - Studocu
Final 2105 Fall 2021 - Answer all the questions 1. [CO4] Solve the ...
Class Test 3 MATH150 solutions - MATH150P1 Class Test 3: 18 MAY 2024 ...
Solutions-Test 3 prep - Test 3 preparation guide Probability and ...
MA1505 0304 - = + - Studocu
Final exam question compilation for review - MATH 224 - In (b ...
Exam question 3 - MATH1004 - Studocu
Syllabus-315-Winter 2024 - Welcome to MATH 315: Ordinary Differential ...
Test3 fa15 - Practice Exams - MATH1552 - Studocu
MATH 3 Q4 WEEK 3 - 4 Module 3 Converting Common Units OF Measurements ...
Mathematics Methods Units 3 & 4: Test Preparation Guide | Course Hero
Quiz4 - Class&Period ,&Fall&2015& Instructions:& - Studocu
Final Exam MATH354 Fall 2019.pdf - CONCORDIA UNIVERSITY Department of ...
Ch 3 & 4 Review with answers.pdf - Chapter 3 & 4 Quiz 1 of 5 https ...
Math 132 Quiz 4 - Math 132 Quiz 4. Spring Semester Professor London ...
MATH 2415 Quiz 16 - Sections 15.6-7 - Question number 1. Your answer ...
Math ch 3-8 - math work - SECTION 3 EXPONENTIAL GROWTH AND DECAY ...
Ch03-Sect01 MATH 124 College Algebra 2010 - Chapter 3. Section 1 Page 1 ...
Test 3 review key - Practice materials - College Algebra Review for ...
MATH 151, Fall 2015 Practice Exam PART I: Multiple Choice
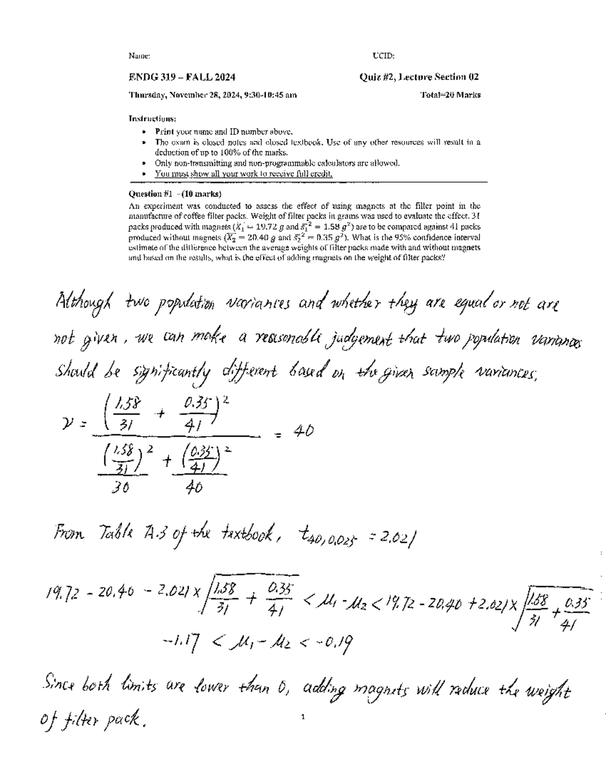
Solutions to Quiz #2-L02-F24 - Name: UCID: ENDG 319 FALL 2024 Quiz ...
Tutorial 4 - Math 315 - Math 315 - Winter 2020 Tutorial 4 Consider the ...
Math3 Q3 Module 4 - Grade 3 Math Mod. 4 - Mathematics Quarter 3 ...
2025 CSEC Mathematics Final Exam MAY/JUNE Paper 02 Review - Studocu
Tutorial 4 - Solutions - Math 315 - Math 315 - Winter 2020 Tutorial 4 ...
Final exam December 2015, questions and answers - CONCORDIA UNIVERSITY ...
Math 1280 Final Exam (Proctored) - Dashboard My courses MATH Final Exam ...
Math ch-14-3 - math work - SECTION 14 Partial Derivatives 951 38. f sx ...
Exam 3 - Exam for module 3 - MTH-150 - Studocu
Calc III Quiz 1.pdf - | Course Hero
Case Study CLO-3&4 1.docx - BUS-302/Operations Management Fall 2018 ...
Grade 5 Term 3 Mathematics Baseline Assessment (2024) - Studocu
MATH 1004 - Tests 1, 2, 3, 4, 5, 6 Winter 2019 - School of Mathematics ...
Saxon Math Course 3 Cumulative Test 15B
Stat Prob-Q3-Module-2 - 11 STATISTICS and PROBABILITY Quarter 3 ...
Try Out Quiz CLO-3 - Attempt Review | PDF | Teaching Mathematics ...
Algebra Notes 2024 - Department of Mathematics Mathematics 1A MATT101 ...
Maths Graded Quiz Unit 3 Attempt review Home - Started on Wednesday, 1 ...
Calculus III Exam 3 Spring 2015: Four Questions to Solve | MATH 241 ...
Exam 3 Fall 2015
0606/01B/SP - Cambridge IGCSE™ Additional Mathematics Specimen Paper B ...
Quiz Chapter 3 and 4 wk 8 - Review - Skills for College Success Chapter ...
2-2 Module Two Quiz - Reading Quiz - 2-2 Module Two Quiz On which three ...
Math Multiple Choice Questions | PDF
Linear Programming Test Questions Guide | PDF
CJ 205 4-3 Quiz - Quiz for all of Module 4 - CJ-205 4-3 Module Four ...
WK3-4 Quiz MATH328.pdf - 7/5/2020 APUS CLE : MATH328 D001 Spr 20 ...
Toaz - Notes - Quiz: Classify the following assertions into statements ...
CJ 207 4-3 Quiz - Quiz for all of Module 4 - CJ-207 4-3 Module Four ...
Stats 109 - classes 3-4 - Statistics and Elementary Probability 111 ...
1 In Class Questions MATH 151-Fall 02 September 17
Math Quiz With Answers For Grade 3
Maths Quiz Questions – Quiz De Maths Collège – DBJZDW
Mathematics Assignment Grade 7 Term 3: Graphs & Transformation Geometry ...
3-4: Math Assessment 4831537 | Hampton3 | Live
Solved Engineering Math (0107202) Assignment 2 (CLO. 3& 4) | Chegg.com
Math 3-4 | PDF | Mathematics | Geometry
Math ST 3&4 Unit 4 | PDF
Grades 3–4 Mathematics Training Test Answer Key
2_-_Ch_3_4_5_6_Tests_and_Answers | PDF | Mathematical Objects | Mathematics
Math-Module-3Math-Module-4 -Advance Mathematics for StudentsMath-Module ...
Mathematics Maths NSC P1 Marking Guidelines Memo June 2023 Eng Gauteng ...