Fully Automated Data Entry User Form Using Python | GUI Tkinter Project ...
Python for Data Science: The Ultimate Beginner's Stack (Pandas, NumPy ...
Simulation Techniques in R and Python for Statistical Analysis | Course ...
Python for Data Analysis: Data Wrangling with pandas, NumPy, and ...
Transcripts for Python Data Visualization: Facetting - [Talk Python ...
Foundational Python For Data Science | Kennedy Robert Behrman
Python Data Types and Data Structures for DevOps
How To Concatenate Multiple Columns In Pandas Dataframe Using Python ...
Work for a 90-year global legacy—without leaving your home. 🇮🇳 ️ ...
NumPy for beginners, Learn NumPy step by step, Python NumPy tutorial ...
Nonprofit Launches AI Dividend For Workers | Let's Data Science
CHAPTER 13: PYTHON FOR DATA SCIENCE - NUMPY & PANDAS OVERVIEW - Studocu
Iterators in Python | Python For Everything
Python Roadmap To Crack A Data Science Interview
I just built an interactive Alzheimer’s Disease dashboard using Python ...
Python Fundamentals Lesson 1: Variables, Data Types, and Operators ...
From Non-Tech to Data Pro: Real-World Strategies for Career Changers to ...
Learn Lists, Tuples, Sets and Dictionaries from Scratch — Python Data ...
[Free now]Free Python Tutorial (Basic) - Become a Developer in 6 Hours ...
Python Programming: This Book Includes: Python for Beginners - Python ...
Data Science For Beginners: 2023–2024 Roadmap | by Alex Otara | Medium
2026 CD Rams Data Jam East Coast Champions | Bob Moreland posted on the ...
Complete Python Data Analysis : Numpy and Pandas Masterclass » NULLED ...
Prompts for DSA: Learning Data Structures & Algorithms with ChatGPT ...
Mastering Data Analysis with Python: Unleash the Power of Python
Python Data Types – PYnative
What Is Data Modeling In Python at Paul Hines blog
Top 5 Exploratory Data Analysis Python Projects
Data Science con Python
Python basics: start your data journey
Python Data Visualization Exercises - Engiverse
Level up your Python data analysis skills
Artificial Intelligence in Sport | Guide to Apply AI
Automating SOC Workflows: Building a Lightweight IP Intelligence Tool ...
Where to begin a cloud career | InfoWorld
How to Build a Custom Web Scraper to Extract Premier League Player ...
Extreme heat drives giant python into Faridabad streets, sparks panic ...
Opossums vs. pythons: Inside Florida's unusual strategy for fighting ...
CS101: Python OOP Assignment - BankAccount, Student, and ATM Classes ...
Excel gets containerized, cloud-based Python analytics and ...
जामिया में बिना टेस्ट 2 दिन में एडमिशन | Addmission in Jamia without ...
NumPy Basics: Key Operations for Vectors & Matrices in Python - Studocu
Python Notes: Introduction to Strings, Lists, Tuples, and Dictionaries ...
Data Analytics from Zero to Expert Free Course , Access free Get Full ...
8 great little Python web frameworks | InfoWorld
The Data Science Roadmap: From Python Basics to Success
NOC:Data Analytics with Python NPTEL Study Materials - Video Lectures ...
Python Data Types (with Examples) - JC Chouinard
Oportunidade para a comunidade USP: inscrições abertas em minicurso ...
Pachet Python popular, compromis: peste 1 milion de descărcări pe lună ...
🚀 Day 29/150 – Sum of First N Natural Numbers in Python ~ Computer ...
Sem narrativa, não há decisão: por que Data Storytelling é o verdadeiro ...
Project: Job Scheduler using Binary Search Trees - Introduction ...
Bitwise Operators in Python - Scientech Easy
Python Dataframe Print All Column Values - Infoupdate.org
The best new features in ASP.NET Core 6 | InfoWorld
The Magic of __subclasshook__: How Python’s ABCs Support Structural ...
🧮 NumPy & Arrays: The Foundation of Efficient Data Processing
LangChain framework hit by several worrying security issues — here's ...
6.8 アトリビュート - Unreal Engine 5で学ぶビジュアルエフェクト実装 基本機能からNiagara、シミュレーションまで ...
Stop Watching, Start Doing: Why AMBÉONE’s Physical Classroom is the ...
The Ultimate AI ChatGPT and Python Programming Bundle Is $30 This Week Only
The uncomfortable truth about vibe coding | Red Hat Developer
Python AL ML & DS Kiran Academy Syllabus Overview - Studocu
IoT OP - Material Overview for TX/RX Digital Pins and Components - Studocu
Master regex like a pro coder
Fix: “Failed to Create Livy Session” When Invoking Notebooks from ...
Level up your portfolio with Python tools
#buildinginpublic #dataanalytics #dashboarddesign #excelanalytics # ...
SEC EDGAR API Docs: CompanyFacts, Submissions & Python Code
ADS LAB EXP1: Descriptive Statistics Implementation Guide - Studocu
Հայաստանի աշակերտների 1-ին սերունդն ավարտեց դպրոցն արհեստական ...
Global AI Technologies: Data Analytics & BI Project Overview - Studocu
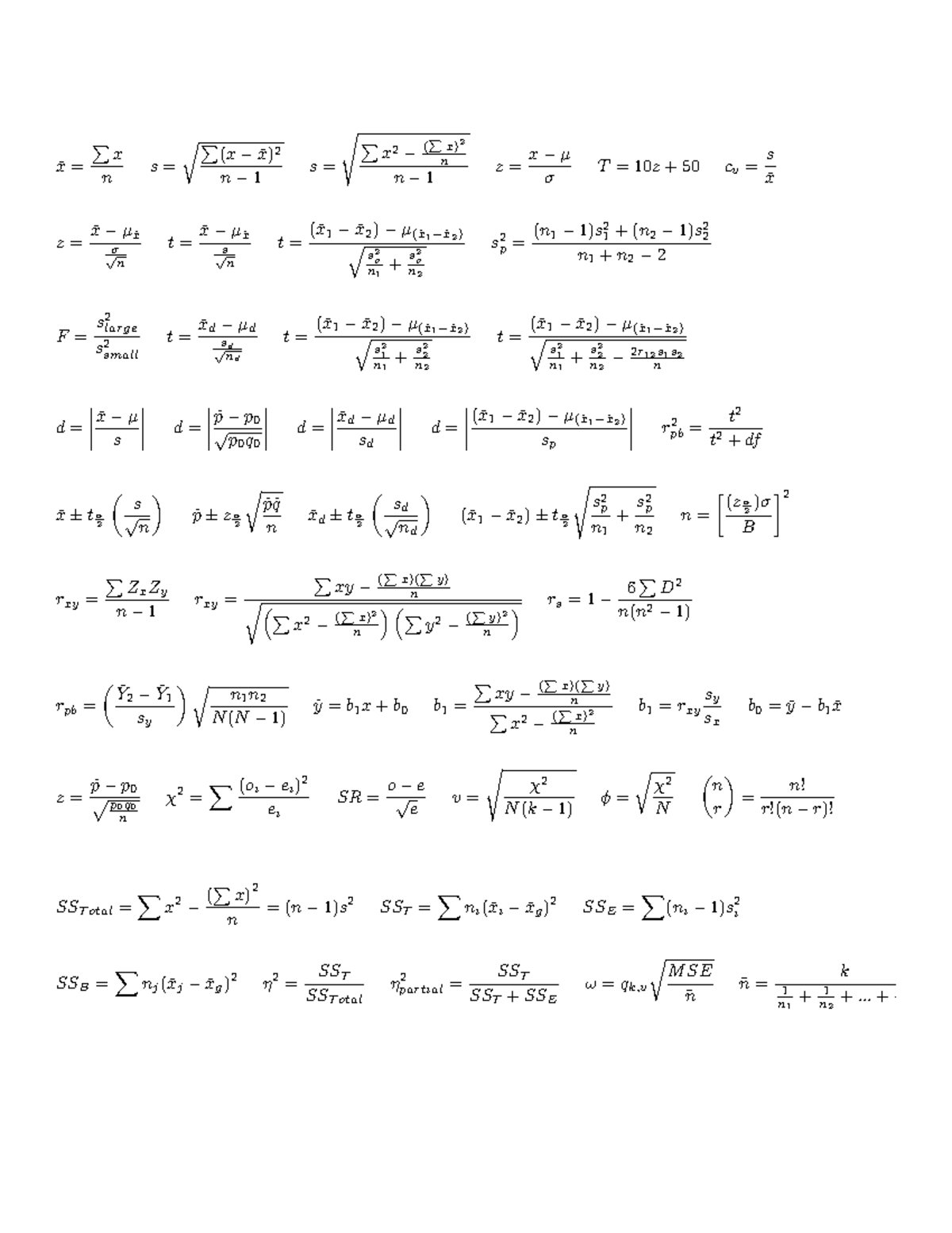
"Statistics Formula Package for Course Code: STATS 101" - Studocu
Reading the Receipts: How Smarter Privacy Accounting Could Unlock More ...
THINK 101 - 🔥 #อัปเดต หลักสูตรฟรีจาก depa x OpenIQ... | Facebook
How to run R-style linear regressions in Python the easy way
#python #softwareengineering #udemycertified #codingskills # ...
ফাঁকিবাজ গবেষক - যারা Machine Learning এবং AI শিখতে... | Facebook
Wall Street Slips As Iran Talks Stall And Oil Jumps - Finimize
R is niche, but it's the language every statistician actually uses
Hierarchical Clustering In Machine Learning: Types & Examples
Your Path to AI Agent Mastery - KGP Talkie
introvoyz041/descSPIM · Datasets at Hugging Face
「快適さ」への感動 - EC起点の事業変革 博報堂式 ECから始める、これからのマーケティング [Book]
DBSCAN Clustering In Machine Learning: Algorithm & Examples
What Happens When Ads Have No Clicks to Measure?
Expert Master's Coding & Algorithm Development in Australia
Beginner Guides
9 Best Statistics Courses Online (Free & Paid) in 2026
upb-nlp/Dolci-Think-SFT-50K-en · Datasets at Hugging Face
Asia’s Chip Stocks Hit Records As The AI Trade Heats Up Again - Finimize
t2ance/code-solutions · Datasets at Hugging Face
Oil Prices Rose As Iran Talks Stalled And AI Stocks Climbed - Finimize
AstraZeneca Hiring Analyst, CRA & Forecasting Jobs in India
Spaces Overview · Hugging Face
SRD 2026 Climate Risk Reporting
【Python学习】NumPy 科学计算入门-CSDN博客
How to work with dictionaries - KDB-X Documentation
Lecture 2: NumPy Overview and Key Concepts - SV-2025 - Studocu
How to Download NumPy - TechBloat
How to Use SPSS - TechBloat
Based on this image's title: “Statistical Functions using Numpy: A Beginner's Guide | Python For Data ...”