Solved Instructions: Create one python file for each task | Chegg.com
Solved Create one python file for each task outlined below | Chegg.com
Create one python file for each task outlined below | Chegg.com
How to create exe file for python program using pyinstaller – Artofit
Solved Instructions:Create one python file for each task | Chegg.com
[Solved] A basic Python program that performs simple file and ...
Solved Instructions: Put the code for each problem in Python | Chegg.com
How to Run a Python File in Terminal: Complete Guide for All OSs ...
[Solved] . LAB ACTIVITY #1 Application of Python List Instructions ...
Solved Create one python file that answers the following | Chegg.com
Python file handling file operations in python create open append read ...
Python Create File — TutorialBrain
How to Create a File in Python - Naukri Code 360
How to Create a File in Python
How To Create A File In Python
How to create a file folder in python - havenlegs
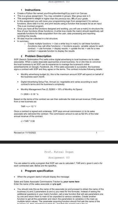
Solved 1 Instructions - Create a Python file named | Chegg.com
[Solved]: Programming in python Create a Python file that de
How to Create a Very Simple Program in Python (with Pictures)
Make Your Python Code Faster: PDF Guide for Optimizing Performance ...
Python Program to Write to File
How To Create A File In Python Windows at William Bittle blog
python 3.x - how to convert a single json file to multiple json files ...
Python Tuples: What it is, and How to Create One
How to Create Conda Environment with Specific Python Version: Step-by ...
How to Create (Write) Text File in Python
Python Create File Methods: Deep Dive! - oopstart.com
Python Create File Structure at Troy Jenkins blog
VS Code for Python - A complete Guide to Install and Setup VS Code ...
How to Create an Empty File in Python
Python Create File With Name From Variable at Callum Grenda blog
Python Tutorials - File Handling Operations | read(), readline(), write ...
Python Create PDF File from URL Example - ItSolutionstuff.com
How To Create An Exe File In Python Anaconda - Dibujos Cute Para Imprimir
Packaging and distributing your Python code – Software Development for ...
PYTHON : How can I make one python file run another? - YouTube
How To Set A File Path In Python - Dibujos Cute Para Imprimir
Guide to Make Python Executable File with PyInstaller
How to Create and Use Python Modules
Python make file name
Python File Handling Tutorial at Barbara Downs blog
How to Build a Single Python File From Multiple Scripts? - AskPython
Python - Open file in write mode
Basic Python Syntax | Python Structure Program - Scientech Easy
How to Write a file in Python - Spark By {Examples}
How To Make A Python File An Executable - Dibujos Cute Para Imprimir
How to create Python script files | LabEx
Run One Python Script From Another in Python - GeeksforGeeks
How to Run a Python File in Terminal? (Step-by-Step)
Python File Operations | Learn to Perform any Operation in Python File
How To Create And Use .env Files In Python - GeeksforGeeks
Python Missing Labels In Matplotlib Bar Chart Stack Overflow Vrogue ...
Solved LAB02 SUBMISSION INSTRUCTIONS Submit 1 python file | Chegg.com
Run Python Code - Run Python statements or script files in the Live ...
Solved LAB 04 BMISSION INSTRUCTIONS bmit 1 python file using | Chegg.com
Step-by-Step Guide to Creating a Python Calculator GUI using Tkinter ...
Write In A Python File at Alejandra Henning blog
Python Exercise 15 Questions With My Coding Solution | PDF | Python ...
Comprehensive List In Python : Comprehensive Guide to Python List ...
For X In List Python – This X For X Example – UUGIK
Write List To File Python Pickle - Design Talk
Solved Instructions:Create a Python program named | Chegg.com
SOLVED: Write Python code to draw the frame as show in the linked ...
Add a README file to your Python package — Python Packaging Guide
How to Read a File in Python - Learn Python
File Handling in Python - 360DigiTMG
How to Create a Python CLI Tool: Step-by-Step Guide - CodeSamplez.com
Python Palindrome Program With Examples - Python Guides
File Naming Convention In Python at Dominic Johnson blog
Python File I/O Assignment Instructions
Ithy - The Ultimate Guide to Creating Python Files: A Step-by-Step Approach
How to Handle Files in Python - The Python Code
(Technology Preview) To create an instruction using Custom Instructions ...
How to Read and Write CSV Files in Python | Medium
1. Introduction to Python Programming — Python Programming
Python get files tree
How To Create A CSV File In Python?
Variables and Input/Output Statements in Python - Study Trigger
Python Programming Examples - GeeksforGeeks
classes | Python Best Practices – Real Python
Example Of Python Code Python Nodes | The Dynamo Primer
How to Make a Calculator in Python Step by Step
How do I create multiline comments in Python? - Programming Guide ...
How to write Python Input Function with Arguments and Return Type?
Basic Python Programs Handwritten PDF - Connect 4 Programming
Solved Requirements You will design and implement a Python | Chegg.com
What is Python Programming Language? Everything You Should Know
Copy Files Using Os Python at Charles Blackshear blog
Write python code - pleper
Getting Started With Python IDLE – Real Python
Python Tutorial | A Complete Guide to Learn Python Programming | Edureka
Introduction To Python Python Programming Tutorial 1
Beginner’s Guide to Python Programming – Part 1 - AI Insights by Dita
How to Make a Calculator With Python (in 5 Steps)
Write and Read JSON Files with Python
Generating A Requirements.txt File From A Jupyter Notebook – GLJY
How to Create files in Python? [A Complete Guide's]
How to List All Files in a Directory with Python: Complete Guide with ...
Python: Writing A List To A File - Simplified Guide
Answered: Objectives: Working with numRX. Working with pandas ...
File Handling in Python: A Complete Guide • datagy
How to Create a Timer in Python: A Step-by-Step Guide
Move File in Python: A Complete Guide
One-Line Python: Efficient For Loop With If Statement
Python'S One-Line Loop: Simplifying Iteration In A Single Line Of Code
Solved Objectives: - Working with files - Working with | Chegg.com
Read Text File-Python
Solved Objectives: - Working with numpy - Working with | Chegg.com
Python: Efficiently Reading All Files In A Directory
Based on this image's title: “[Solved] Python program . Instructions: Create one python file for each ...”