Learn 8 Popular Network Protocols in 1 Diagram. | Alex Xu posted on the ...
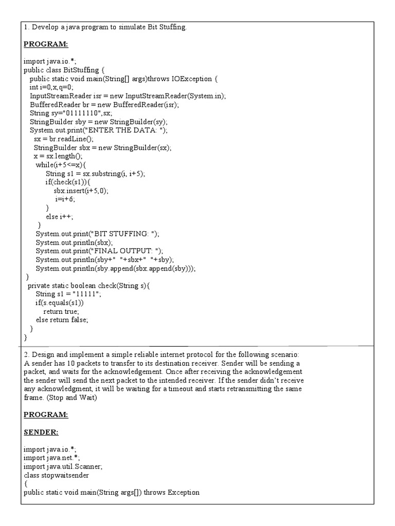
Simulating Reliable Internet Protocols and Network Routing Algorithms ...
Pulmonary and systemic circulation | PPSX
CFC Songs of Praise and Worship | PPSX
Network Protocols Run the Internet - by Alex Xu
EP80: Explaining 8 Popular Network Protocols in 1 Diagram
Network Protocols: Definition, Types, and How They Work
Java Hash Map Explained. A HashMap is a data structure that… | by ...
A Beginner's Guide to Common Network Protocols
Socket Programming In Java For Client Server Communication at Rose ...
Test ppsx (1) | PPSX
PPSX File - What is a .ppsx file and how do I open it?
Examples of Network Protocols in Digital Communication
Convert PPTX to PPSX | Documents file conversions
Different Types Of Communication Protocols And Its Uses at Valeria ...
Network Layer Forwarding And Routing at Anna Crace blog
PPSX Viewer - Open PPSX File Online for Free | Jumpshare
Java Object-Oriented Programming: Your Comprehensive Guide | ProfileTree
Student feedback system | PPSX
Delete Metadata from PPSX Files in Batch Easily and Smoothly
Parabéns mamãe | PPSX
Algoritmo dfd ppsx | PPT
Biznesplan Elementy - PPSX | PDF
2 OTVORI U ZIDOVIMA - PPSX | PDF
BURSA,TURKEY | PPSX
Heterospory and seed habit | PPTX | Infertility | Reproductive Health
ppsx | PPT
Unit i understanding disciplines and subjects | PPTX
VRSTE KONSTRUKTIVNIH SUSTAVA - PPSX | PDF
Lenguaje DML-SQL - PPSX | PDF
What Is Microsoft PowerPoint? | CitizenSide
Linux Networking Stack tutorial: Receiving Data | Maxnilz🌴
Network Protocol What Is The Network News Transfer Protocol (NNTP)?
Routing Protocols Osi
将 PPSX 转为 PPT 的免费在线转换器
What are Network Protocols? - Xitoring
PPSX File Format Vector Icon 29699427 Vector Art at Vecteezy
Ppsx file icon solid style. Spreadsheet file type, extension, format ...
PPSX Vector Icon 39988539 Vector Art at Vecteezy
PPSX Vector Icon 40008141 Vector Art at Vecteezy
PPSX Vector Icon 40624067 Vector Art at Vecteezy
Ppsx Icons File Type Spreadsheet Files Document Icon With Outline ...
PPSX Vector Icon 38263104 Vector Art at Vecteezy
PPSX Vector Icon 36916025 Vector Art at Vecteezy
Icône ppsx
PPSX File Format Line Gradient Circle Icon 43537843 Vector Art at Vecteezy
PPSX Vector Icon 39130170 Vector Art at Vecteezy
Understanding PowerPoint File Types: PPTX, PPSX, and More
PPSX Vector Icon 38341651 Vector Art at Vecteezy
Ppsx Svg Png Icon Free Download (#696004) - OnlineWebFonts.COM
Ppsx - Free ui icons
PPSX File Format Line Icon 28642777 Vector Art at Vecteezy
PPSX File Viewer - PPSX TO PDF for Android - Download
PPSX Vector Icon 38343078 Vector Art at Vecteezy
PPSX Vector Icon 40018658 Vector Art at Vecteezy
Drugs used in CPR and Emergency.ppsx
Ppsx - Free interface icons
Guide Dogs assembly | Teaching Resources
Plant Hormone PPT for A-level | Teaching Resources
Introduction to Siddhanta & its Types | PDF
ppsx Vector Icons free download in SVG, PNG Format
Android용 PPSX File Viewer - PPSX TO PDF APK 다운로드
Friction Class 11 Physics | PPTX
Archivo PPSX: Cómo Abrir Y Utilizar Presentaciones En Formato PPSX En ...
PPSX to PPT Converter (Online & Free) - RunConvert
Network Protocol Used To Route Ip Addresses
waterfall model it is teh presentation on waterfall model | PPT
Section_Cert_AEBO | PDF
social media slide show2.ppsx | Free Download
java-io | Mahara-Tech
Web Request/Response Model
Расширение файла .PPSX - как открыть файл PPSX?
A Step-by-Step Guide on How to Convert VSP to MP4 - MiniTool Video ...
4 Methods To Convert PPS/PPSX to PDF
Czym jest plik PPSX? Do czego służy i jak go otworzyć
digital10.ppsx
lietuvių kalba sakinio dalys, sakinio dalys.ppsx
internet.ppsx
Hematology.ppsx
CPAD UNIT 2.ppsx
Presentation-March-2018-to-ISO45001.ppsx
SFA.ppsx
Hücre organellerinin Yapıları ve Görevleri.ppsx
T3 Bab 1 - Jadual dan graf.ppsx
MEASURES OF POSITION FOR UNGROUPED DATA : QUARTILES , DECILES ...
Chat GPT.ppsx
HIRA TRAINING PPT.pptx
collaborative publishing for presscon.pptx
About Sardar Vallabhbhai patel.ppsx
Manual of basic CPR.pdf
GET SOMETHING DONE.ppsx
PEMASANGAN KOTAK UNIT PENGGUNA (KUP) 3 FASA.ppsx
Function of Organization.ppsx
351119721.ppsx
Naviswork - Self study work.pdf
Васил Левски presentation.ppsx
Tunku Abdul Rahman.ppsx
01. RPJM Desa.ppsx
Aralin 9 - Ang mga Prayle at ang Patronato Real.ppsx
Based on this image's title: “Network protocols and Java programming | PPSX”