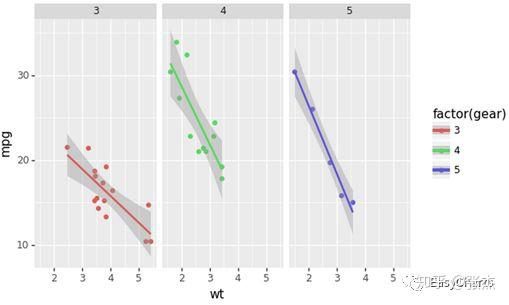
python数据可视化系列---plotnine(1) - 知乎
plotnine:python数据可视化版ggplot2 - 知乎
绘图提高篇 | Plotnine 核密度空间插值可视化绘制 - 知乎
plotnine subplot - 知乎
Python可视化43|plotnine≈R语言ggplot2 - 知乎
Python语言plotnine VS R语言ggplot2 - 知乎
使用 Python 的数据可视化系列教程 - 知乎
python数据可视化的一些基本操作(part2) - 知乎
Python数据可视化—Bokeh库快速入门(一) - 知乎
【教程】Python科研数据可视化 - 知乎
又来赠书啦 | Python数据可视化科技图表绘制 - 知乎
数据可视化 | 没错!在 Python 中也能像 ggplot2 一样绘图 - 知乎
python可视化大屏——数据看板 - 知乎
10个实用的Python数据可视化图表总结 - 知乎
Python数据分析与可视化之numpy极速入门(试学) - 知乎
【Python】数据可视化库Plotly(含各类图介绍) - 知乎
如何用 Python 实现文本数据可视化? - 知乎
Python科研统计作图Plotnine+Seaborn+matplotlib替代R ggplot2系列!(一) - 知乎
Python数据可视化系列」1. Python简介 - 知乎
python简单进阶之数据可视化:Plotly Express使用教程 - 知乎
Python常用的10大可视化库推荐~非常酷炫 - 知乎
plotnine:Python版的ggplot2包 - 知乎
Plotnine,一个充满个性化的 Python 库 - 知乎
python 系列 05 - 基于plotly的数据可视化 - 知乎
Python 数据可视化之美:专业图表绘制指南(全彩)(书籍) - 知乎
Python数据可视化,看这篇就够了 - 知乎
Python系列,数据可视化Matplotlib绘图入门教程(速查详细版,一图一代码,建议收藏) - 知乎
Python学习之——数据可视化matplotlib篇 - 知乎
python数据可视化系列---谁是ggplot2的更好python实现 - 知乎
Python数据可视化——相关图 - 知乎
5大Python可视化库到底选哪个好?一篇文章搞定从选库到教学 - 知乎
Python数据可视化之高速绘图神器PyQtGraph库,强烈建议收藏 - 知乎
plotnine heatmap python热图 - 知乎
再见matplotlib,7 个必须尝试的 Python 数据可视化库! - 知乎
5个炫酷的python 数据可视化工具,你都用过吗? - 知乎
python大数据实践之三:对分析结果可视化呈现 - 知乎
用plotnine画图不显示结果如何解决? - 知乎
Python中除了matplotlib外还有哪些数据可视化的库? - 知乎
Python数据分析+数据挖掘+数据可视化 - 知乎
Python数据分析基础(书籍) - 知乎
最新基于Python科研数据可视化 - 知乎
Python实战必备书籍-《Python数据科学手册》免费分享 - 知乎
Python数据可视化入门 - 知乎
精美的数据分析图!教你使用Python的Plotly库 - 知乎
在Python中使用ggplot2风格及语法: plotnine与ggplot|可视化系列05_51CTO博客_python ggplot2
Python数据可视化之Plotnine库超详细教程系列-CSDN博客
数据可视化技术:python数据可视化工具库汇总(共21个)_python igraph 中文-CSDN博客
Python数据分析与科学计算数据可视化篇:Matplotlib和Seaborn【共46课时】_机器学习课程-51CTO学堂
Python数据可视化教程:基于Plotly的动态可视化绘图_plotly动态绘图-CSDN博客
Python可视化库——plotnine学习和基本使用-CSDN博客
python数据可视化基础之matplotlib、seaborn、plotnine对比_seaborn plotnine-CSDN博客
Based on this image's title: “python数据可视化系列---plotnine(1) - 知乎”