Seaborn vs. Matplotlib - 多维度对比分析 – Kanaries
Seaborn vs. Matplotlib - A Comparative Analysis in Different Metrics ...
Exploring data visualization: Matplotlib vs. seaborn
使用 Matplotlib 和 Seaborn 的 Python 数据可视化 - 【布客】GeeksForGeeks 人工智能中文教程
Data Visualization in Python: Matplotlib vs Seaborn - KDnuggets
Seaborn vs Matplotlib - Visualize data beyond
Python Libraries for Data Visualization: Matplotlib vs. Seaborn
Visualization with Seaborn - Matplotlib | Data Visualization
matplotlib & seaborn - 知乎
Seaborn vs Matplotlib for Large Datasets
Benchmarking Performance Of Matplotlib And Seaborn In Large Datasets ...
Comparing Seaborn And Matplotlib For Data Visualization In Pandas ...
Differences between Matplotlib and Seaborn | Data visualization, Web ...
Matplotlib & Seaborn 快速绘图教程-CSDN博客
An introduction to seaborn - 《seaborn 0.9 中文文档》 - 书栈网 · BookStack
The Battle of the Visuals: Matplotlib vs Seaborn in Data Science
PythonにおけるPlotly vs Matplotlib:詳細な分析 – Kanaries
matplotlib seaborn 数据可视化(1)——1维数据折线图、散点图、条形图、直方图_一维数据可视化-CSDN博客
Seaborn vs. Matplotlib: When to Use Each | by Tom | TomTalksPython | Medium
Seaborn 数据可视化基础教程 - HUHUHANG
Matplotlib 与 Seaborn 数据可视化技巧_matplotlib库进行数据可视化 seaborn库进行数据可视化-CSDN博客
Data Visualization in Python: Matplotlib vs Seaborn | Data ...
Mastering Matplotlib and Seaborn: 5 Techniques for Advanced Data ...
Matplotlib vs Seaborn: Which One Should You Use? | UniAthena
当数据遇见艺术:我的Matplotlib与Seaborn可视化探索之旅 – 天天悦读
探索性数据分析|Exploratory Data Analysis|EDA 入门(基本概念、流程、工具及资源) - 知乎
Matplotlib vs Seaborn?有什么区别学哪个?_seaborn和matplotlib的区别-CSDN博客
python-seaborn,matplotlib多维数据可视化绘图帖子合集;三维散点图;气泡图,科研绘图 - 知乎
Seaborn中文教程(五):通过“多图网格”结构化展示多维数据 - 知乎
基于matplotlib的Seaborn入门(数据可视化) - 知乎
数据可视化,Seaborn画图原来这么好看 - 知乎
十分钟掌握Seaborn,进阶Python数据可视化分析 - 知乎
这可能是Matplotlib和Seaborn最全的入门文档 - epictus - 博客园
Matplotlib 高级进阶实战:多维度数据可视化组合图表-CSDN博客
matplotlib、seaborn颜色、调色板、调色盘。 - 知乎
Python数据可视化分析--Seaborn - 知乎
Python中得可视化:使用Seaborn绘制常用图表 - 知乎
Python seaborn和matplotlib可视化,怎么选? - 知乎
数据科学 | 可视化神器Seaborn的超全介绍 - 知乎
15 种 Seaborn 可视化图表详解_data_sns_数据
【matplotlib 和seaborn】用matplotlib和seaborn做数据可视化 - 知乎
[转] 十分钟掌握Seaborn,进阶Python数据可视化分析 - {前端开发} - 博客园
科研图表必备|多图形混合排版,在Matplotlib/Seaborn中实现? - 知乎
Seaborn:一个样式更好看的Python数据可视化库 - 知乎
Matplotlib vs Seaborn: Which Python Data Visualization Library is Right ...
多维度可视化分析 - Lindseyyip - 博客园
PyGWalker:将你的pandas dataframe变成交互式可视化分析工具 - 知乎
Python-Seaborn-vs.-Matplotlib-Comparison | Matplotlib and Se… | Flickr
常见统计图形分类,及 R-Stata-Python 基本图形对比 - 知乎
matplotlib vs seaborn:データ可視化ライブラリ徹底比較! | アマチュア無線局JS2IIU
matplotlib vs seaborn:データ可視化ライブラリ徹底比較!|JS2IIU | アマチュア無線局
5大Python可视化库到底选哪个好?一篇文章搞定从选库到教学 - 知乎
五、 Python可视化库Seaborn - 大头swag - 博客园
数据可视化艺术:Matplotlib与Seaborn实战_matplotlib seaborn-CSDN博客
10.1. Data visualization in Python — Python for Nanobiologists
Seaborn和Matplotlib对多类数据进行可视化并添加图例_sns显示图例_小白炼丹师的博客-CSDN博客
Matplotlib及Seaborn可视化_seaborn和matplotlib的区别-CSDN博客
[机器学习-02] 数据可视化神器:Matplotlib和Seaborn工具包实战图形大全_seaborn包-CSDN博客
绘图与可视化:Matplotlib与Seaborn (python包)_matplotlib和seaborn-CSDN博客
Python数据分析7-seaborn可视化_第七章seaborn可视化-CSDN博客
Python数据分析 | seaborn工具与数据可视化-腾讯云开发者社区-腾讯云
python多维数据_Python 多维数据可视化-CSDN博客
一个基于Matplotlib的Python数据可视化库:Seaborn-阿里云开发者社区
Python Seaborn绘制变量相关性分析热力图-开发者社区-阿里云
Python数据可视化库seaborn ------ 两维数据间的分布关系;多维数据间的分布关系; 绘制回归关系;用DataFrame数据画图 ...
python数据可视化基础之matplotlib、seaborn、plotnine对比_seaborn plotnine-CSDN博客
Python----数据可视化(Seaborn合集:介绍,应用,绘图,使用FacetGrid绘图)-CSDN博客
python使用seaborn和matplotlib绘图介绍_seaborn的局限性质-CSDN博客
matplotlib、seaborn又一个强力统计分析助手-CSDN博客
A guide to Python libraries for machine learning projects
python数据分析及可视化(十二)Seaborn可视化(绘图风格、颜色风格、线性关系可视化、分类数据可视化、数据集分布可视化、关系矩阵图 ...
matplotlib与seaborn常用绘图及设置-CSDN博客
Python 多维数据可视化_如何展示五维信息的数据-CSDN博客
python如何做多维数据分析 python多维数据画图_mob6454cc6441b6的技术博客_51CTO博客
数据分析对比图表-雷达图全面指南-CSDN博客
大数据可视化技术 实验三:Matplotlib和Seaborn基本操作_matplotlib和seaborn绘制散点图-CSDN博客
Data Science: Visualizing Multiple Charts in the Same Figure using ...
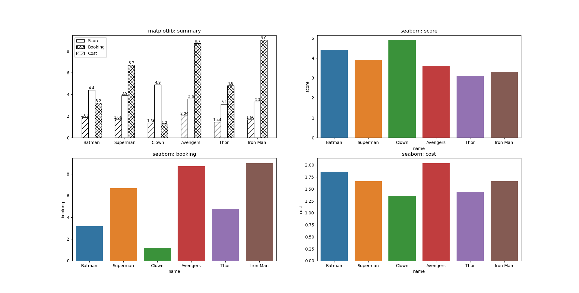
Based on this image's title: “Seaborn vs. Matplotlib - 多维度对比分析 – Kanaries”